JDTadasGOT
Teoría Por Temas
AM Tema 1 - Sucesiones y series de funciones.pdf
8 páginas
AM Tema 2 - Numeros complejos y series de Fourier.pdf
9 páginas
AM Tema 3 - Ecuaciones diferenciales ordinarias.pdf
AM Tema 4 - Teoria de numeros.pdf
AM Tema 5 - Conjuntos y grupos.pdf
5 páginas
AM Tema 6 - Anillos.pdf
11 páginas
Ejercicios - AM Problemas - Hoja 1.pdf
pdf
175
3
Apuntes - AM Tema 1 - Sucesiones y series de funciones.pdf
135
0
Apuntes - AM - Chuletario.pdf
3 páginas
129
1
Apuntes - Resumen-AM.pdf
7 páginas
158
Ejercicios - AM Problemas - Hoja 2.pdf
153
2
Apuntes - Teoria-Completa-con-Ejemplos.pdf
92 páginas
91
5
Ejercicios - AM Problemas - Hoja 3.pdf
6 páginas
100
Ejercicios - AM Problemas - Hoja 4.pdf
98
Ejercicios - AM Problemas - Hoja 6.pdf
99
Apuntes - Algebra.pdf
41 páginas
142
Apuntes - AM Tema 2 - Numeros complejos y series de Fourier.pdf
Ejercicios - AM Problemas - Hoja 5.pdf
108
Apuntes - Calculo.pdf
25 páginas
138
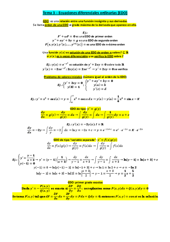
Apuntes - AM Tema 3 - Ecuaciones diferenciales ordinarias.pdf
68
Apuntes - AM Tema 4 - Teoria de numeros.pdf
Apuntes - AM Tema 6 - Anillos.pdf
71
Apuntes - AM Tema 5 - Conjuntos y grupos.pdf
69
Apuntes - Ex-Ene_2018.pdf
48
Apuntes - Examen-Feb-13.pdf
53
Apuntes - AMSeriesYFourierT12.pdf
15 páginas
160