Todo
Apuntes
Ejercicios
Exámenes
chevron_left
chevron_right

Formulario con todos los contenidos del primer parcial de analisis complejo. Con los metodos y teoremas mas utiles para resolver los ejercicios mas tipicos de examen de este tema.

5 páginas

Resumen del 1er Parcial de Ampliación de Matemáticas: 1.- Números Complejos; 2.- Funciones Holomorfas; 3.- Power Series; 4.- Integracion Compleja; 5.- Laurent Series; 6.- Residue Theorem and Applications

2 páginas

He publicado nuevos apuntes de 2º Ampliación de Matemáticas: integral.pdf

8 páginas

He publicado nuevos apuntes de 2º Ampliación de Matemáticas: Doc-12-11-2023.pdf

5 páginas

He publicado nuevos ejercicios de 2º Ampliación de Matemáticas: PJproblemas.pdf

32 páginas

He publicado nuevos ejercicios de 2º Ampliación de Matemáticas: prob-AmpMat-sinfecha-sol.pdf

12 páginas

He publicado nuevos ejercicios de 2º Ampliación de Matemáticas: prob-AmpMat-sinfecha.pdf

23 páginas

He publicado nuevos ejercicios de 2º Ampliación de Matemáticas: ejerc.pdf

10 páginas

He publicado nuevos examenes de 2º Ampliación de Matemáticas: ExamenesAM-1.pdf

2 páginas

He publicado nuevos examenes de 2º Ampliación de Matemáticas: exord.pdf

7 páginas

He publicado nuevos examenes de 2º Ampliación de Matemáticas: segundo-EXAMEN-1.pdf

1 página

He publicado nuevos examenes de 2º Ampliación de Matemáticas: e2.pdf

5 páginas

He publicado nuevos examenes de 2º Ampliación de Matemáticas: p1oct.pdf

7 páginas

He publicado nuevos examenes de 2º Ampliación de Matemáticas: examen.pdf

1 página

He publicado nuevos apuntes de 2º Ampliación de Matemáticas: TOPIC-1-Ordinary-Differential-Equations.pdf

5 páginas

He publicado nuevos examenes de 2º Ampliación de Matemáticas: Final 2024-25 con soluciones.pdf

5 páginas

He publicado nuevos examenes de 2º Ampliación de Matemáticas: 2º Parcial 2024-25 con soluciones.pdf

3 páginas

He publicado nuevos examenes de 2º Ampliación de Matemáticas: 1º Parcial 2024-25 con soluciones.pdf

2 páginas

He publicado nuevos examenes de 2º Ampliación de Matemáticas: 1º Parcial 2023-24 con soluciones.pdf

2 páginas

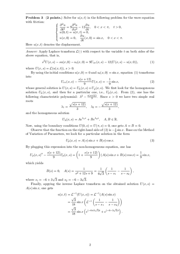
He publicado nuevos apuntes de 2º Ampliación de Matemáticas: Transformada-De-Laplace-Teoria-y-ejercicios.pdf

3 páginas

He publicado nuevos apuntes de 2º Ampliación de Matemáticas: Resumen-Ampliacion-de-matematicas.pdf

2 páginas

He publicado nuevos apuntes de 2º Ampliación de Matemáticas: Laplace-Notes.pdf

1 página

He publicado nuevos apuntes de 2º Ampliación de Matemáticas: Differential-Equations-Notes.pdf

1 página

He publicado nuevos apuntes de 2º Ampliación de Matemáticas: Apuntes.pdf

51 páginas

He publicado nuevos apuntes de 2º Ampliación de Matemáticas: Apuntes.pdf

89 páginas

He publicado nuevos examenes de 2º Ampliación de Matemáticas: midterm1RESUELTO.pdf

5 páginas

He publicado nuevos examenes de 2º Ampliación de Matemáticas: Midterm2RESUELTO.pdf

4 páginas

He publicado nuevos apuntes de 2º Ampliación de Matemáticas: apuntesParcial1.pdf

8 páginas

He publicado nuevos examenes de 2º Ampliación de Matemáticas: SolutionsMidterm2.pdf

3 páginas

He publicado nuevos examenes de 2º Ampliación de Matemáticas: SolutionsMidterm2complexvariable2022.pdf-1-1.pdf

1 página

He publicado nuevos examenes de 2º Ampliación de Matemáticas: solutionsmidterm1.pdf

5 páginas

He publicado nuevos examenes de 2º Ampliación de Matemáticas: Solutionsmidterm1AdvanceMath2021-1.pdf

1 página

He publicado nuevos examenes de 2º Ampliación de Matemáticas: SolutionsMidterm1complexvariable2022-1.pdf

2 páginas

He publicado nuevos examenes de 2º Ampliación de Matemáticas: midterm1ComplexVariable2013p1-2.pdf

2 páginas

He publicado nuevos apuntes de 2º Ampliación de Matemáticas: Apuntes.pdf

65 páginas

He publicado nuevos apuntes de 2º Ampliación de Matemáticas: EJERCICIOS-AMPLI-MATES.pdf

29 páginas

He publicado nuevos apuntes de 2º Ampliación de Matemáticas: RESUMEN-AMPLI-DE-MATES.pdf

5 páginas

He publicado nuevos apuntes de 2º Ampliación de Matemáticas: Resumen-temariocompleto.pdf

9 páginas

He publicado nuevos examenes de 2º Ampliación de Matemáticas: Final 2022-23 con soluciones.pdf

3 páginas

He publicado nuevos examenes de 2º Ampliación de Matemáticas: Extraordinaria 2022-23 con soluciones.pdf

5 páginas

He publicado nuevos examenes de 2º Ampliación de Matemáticas: Final 2023-24 con soluciones.pdf

9 páginas

He publicado nuevos examenes de 2º Ampliación de Matemáticas: 2º Parcial 2023-24 con soluciones.pdf

6 páginas

He publicado nuevos examenes de 2º Ampliación de Matemáticas: 1º Parcial 2023-24 con soluciones.pdf

8 páginas

He publicado nuevos ejercicios de 2º Ampliación de Matemáticas: Exercises-For-Final-Exam.pdf

13 páginas

He publicado nuevos ejercicios de 2º Ampliación de Matemáticas: Exam-Type-Exercises-Diff-Eq..pdf

15 páginas

He publicado nuevos apuntes de 2º Ampliación de Matemáticas: Types-and-Steps-Differential-Eq..pdf

6 páginas

He publicado nuevos examenes de 2º Ampliación de Matemáticas: Midterm1-2021solved.pdf

2 páginas

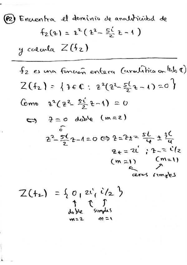
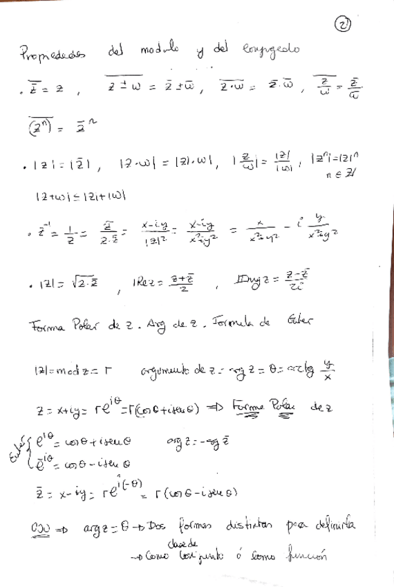
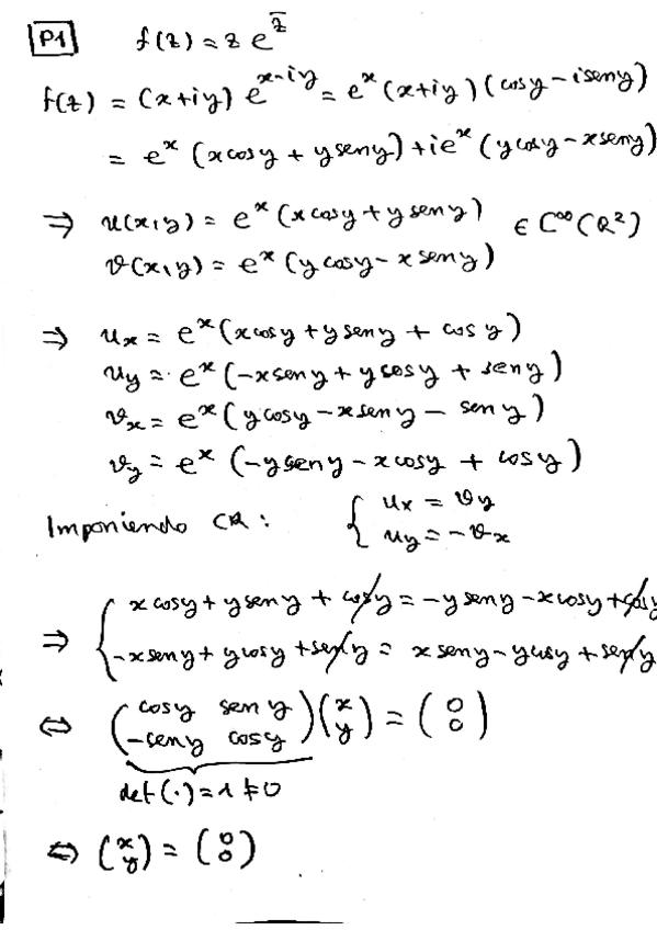
He publicado nuevos apuntes de 2º Ampliación de Matemáticas: ALL-FORMULAS-complex-numbers.pdf

1 página

He publicado nuevos examenes de 2º Ampliación de Matemáticas: FinalExam2024.pdf

3 páginas

He publicado nuevos apuntes de 2º Ampliación de Matemáticas: apuntes-parcial2.pdf

11 páginas

He publicado nuevos apuntes de 2º Ampliación de Matemáticas: apuntes-parcial1.pdf

20 páginas

He publicado nuevos apuntes de 2º Ampliación de Matemáticas: Teoria.pdf

5 páginas

He publicado nuevos examenes de 2º Ampliación de Matemáticas: Midterm1-2021-Paso-a-paso.pdf

2 páginas

He publicado nuevos examenes de 2º Ampliación de Matemáticas: Midterm1-2022solved.pdf

4 páginas
Anónimo

@Anónimo

examenes

-

Examens repaso de conceptos básicos

He publicado nuevos examenes de 2º Ampliación de Matemáticas: Examens repaso de conceptos básicos

solucion2013.pdf
solucion2013.pdf
solucion2013.pdf
solucion2014.pdf
solucion2014.pdf
solucion2014.pdf
Anónimo

@Anónimo

examenes

-

EXAMENES PARCIALES FINALES EJERCICIOS

He publicado nuevos examenes de 2º Ampliación de Matemáticas: EXAMENES PARCIALES FINALES EJERCICIOS

Control1.pdf
Control1.pdf
Control1.pdf
Control2.pdf
Control2.pdf
Control2.pdf

apuntes

-

Apuntes Ampliación Matemáticas

He publicado nuevos apuntes de 2º Ampliación de Matemáticas: Apuntes Ampliación Matemáticas

ampliparcial2I.pdf
ampliparcial2I.pdf
ampliparcial2I.pdf
ampliparcial2II.pdf
ampliparcial2II.pdf
ampliparcial2II.pdf

ejercicios

-

Colección Ejercicios Matemáticas

He publicado nuevos ejercicios de 2º Ampliación de Matemáticas: Colección Ejercicios Matemáticas

Set-of-exercises.pdf
Set-of-exercises.pdf
Set-of-exercises.pdf
Exercises.pdf
Exercises.pdf
Exercises.pdf

examenes

-

Parciales 20/21 con soluciones

He publicado nuevos examenes de 2º Ampliación de Matemáticas: Parciales 20/21 con soluciones

partial1.pdf
partial1.pdf
partial1.pdf
partial2.pdf
partial2.pdf
partial2.pdf

apuntes

-

Libros de apuntes y ejercicios

He publicado nuevos apuntes de 2º Ampliación de Matemáticas: Libros de apuntes y ejercicios

Coleccion-de-problemas.pdf
Coleccion-de-problemas.pdf
Coleccion-de-problemas.pdf