chevron_left
chevron_right
Todo
Apuntes
Ejercicios
Exámenes
chevron_left
chevron_right

Métodos numéricos

3 páginas

Métodos numéricos

2 páginas

Métodos numéricos

6 páginas

Métodos numéricos

3 páginas

Actividades funciones de Bessel

10 páginas

Apuntes para la PDM

1 página

Apuntes para la PDM

5 páginas

Resumen sin ejemplos tema 3 ecuaciones diferenciales

3 páginas

Resumen sin ejemplos tema 2 ecuaciones diferenciales

2 páginas

Resumen sin ejemplos tema 1 ecuaciones diferenciales

4 páginas

Es un resumen de lo que va para el primer parcial de estadística, no hay carpeta de esta asignatura así que lo subo aquí ?

9 páginas

Está explicado paso a paso cómo resolver los ejercicios del Tema 3 de manera clara y sencilla, con ejemplos para que se entienda mejor.

6 páginas

Está explicado paso a paso cómo resolver los ejercicios del Tema 2 de manera clara y sencilla, con ejemplos para que se entienda mejor.

5 páginas

Esto es un resumen de los diferentes tipos de ecuaciones que pueden haber y una explicación esquemática de cómo se resuelve

15 páginas

Estos son los enunciados de los problemas del TEMA 1

2 páginas

Ejercicios resueltos del Tema 1, faltan algunos pero hay bastantes

17 páginas

He publicado nuevos apuntes de 2º Ampliación de Matemáticas: RESUMENES-1-PARC.pdf

7 páginas

He publicado nuevos apuntes de 2º Ampliación de Matemáticas: Resumenes-2-parc.pdf

5 páginas

He publicado nuevos examenes de 2º Ampliación de Matemáticas: E1TeoA-resuelto.pdf

4 páginas

He publicado nuevos examenes de 2º Ampliación de Matemáticas: E1TeoB-resuelto.pdf

5 páginas

He publicado nuevos examenes de 2º Ampliación de Matemáticas: E2Teo-Resuelto.pdf

3 páginas

He publicado nuevos examenes de 2º Ampliación de Matemáticas: E2Teo-B-resuelto.pdf

3 páginas
Anónimo

@Anónimo

He publicado nuevos examenes de 2º Ampliación de Matemáticas: examen22425SOLUCION.pdf

11 páginas
Anónimo

@Anónimo

He publicado nuevos examenes de 2º Ampliación de Matemáticas: examen12425SOLUCION.pdf

16 páginas
Anónimo

@Anónimo

He publicado nuevos examenes de 2º Ampliación de Matemáticas: Pruebaminuto42425SOLUCION.pdf

6 páginas
Anónimo

@Anónimo

He publicado nuevos examenes de 2º Ampliación de Matemáticas: Pruebaminuto32425SOLUCION.pdf

3 páginas
Anónimo

@Anónimo

He publicado nuevos examenes de 2º Ampliación de Matemáticas: Pruebaminuto12425SOLUCION.pdf

8 páginas
Anónimo

@Anónimo

He publicado nuevos examenes de 2º Ampliación de Matemáticas: Pruebaminuto22425SOLUCION.pdf

6 páginas
Anónimo

@Anónimo

He publicado nuevos apuntes de 2º Ampliación de Matemáticas: Tema-2-Sistemas-de-Ecuaciones-Diferenciales-Lineales.pdf

2 páginas
Anónimo

@Anónimo

He publicado nuevos apuntes de 2º Ampliación de Matemáticas: Tema-1-Ecuaciones-diferenciales-de-primer-orden.pdf

6 páginas
Anónimo

@Anónimo

He publicado nuevos examenes de 2º Ampliación de Matemáticas: Pruebaminuto22324SOLUCION.pdf

8 páginas
Anónimo

@Anónimo

He publicado nuevos examenes de 2º Ampliación de Matemáticas: Pruebaminuto22223SOLUCION.pdf

6 páginas
Anónimo

@Anónimo

He publicado nuevos examenes de 2º Ampliación de Matemáticas: Pruebaminuto22122SOLUCION.pdf

6 páginas
Anónimo

@Anónimo

He publicado nuevos examenes de 2º Ampliación de Matemáticas: Pruebaminuto22021SOLUCION.pdf

8 páginas
Anónimo

@Anónimo

He publicado nuevos examenes de 2º Ampliación de Matemáticas: Pruebaminuto12223SOLUCION.pdf

4 páginas
Anónimo

@Anónimo

He publicado nuevos apuntes de 2º Ampliación de Matemáticas: Pruebaminuto12324SOLUCION.pdf

4 páginas
Anónimo

@Anónimo

He publicado nuevos examenes de 2º Ampliación de Matemáticas: Pruebaminuto12122SOLUCION.pdf

6 páginas
Anónimo

@Anónimo

He publicado nuevos examenes de 2º Ampliación de Matemáticas: Pruebaminuto12021SOLUCION.pdf

5 páginas

He publicado nuevos apuntes de 2º Ampliación de Matemáticas: SERIES-DE-FOURIERAMPLIACIONMATEMATICASAPUNTES.pdf

16 páginas

He publicado nuevos apuntes de 2º Ampliación de Matemáticas: CALCULO-DE-VARIACIONESAMPLIACIONMATEMATICASAPUNTES.pdf

8 páginas

He publicado nuevos apuntes de 2º Ampliación de Matemáticas: FORMULARIOAMPLIACION-DE-MATEMATICAS.pdf

5 páginas

He publicado nuevos apuntes de 2º Ampliación de Matemáticas: SOLUCIONES-DEFINIDAS-MEDIANTE-SERIESAMPLIACIONMATEMATICASAPUNTES.pdf

8 páginas

He publicado nuevos apuntes de 2º Ampliación de Matemáticas: ECUACIONES-INTEGRALES-NO-HOMOGENEASAMPLIACIONMATEMATICASAPUNTES.pdf

10 páginas

He publicado nuevos apuntes de 2º Ampliación de Matemáticas: TRANSFORMADA-DE-FOURIERAMPLIACIONMATEMATICASAPUNTES.pdf

23 páginas

He publicado nuevos ejercicios de 2º Ampliación de Matemáticas: TEORIA-DE-HILBERT-SCHMIDT-PARA-ECUACIONES-INTEGRALESAMPLIACIONMATEMATICASEJERCICIOS2.pdf

9 páginas

He publicado nuevos ejercicios de 2º Ampliación de Matemáticas: SERIES-DE-FOURIERAMPLIACIONMATEMATICASEJERCICIOS.pdf

8 páginas

He publicado nuevos ejercicios de 2º Ampliación de Matemáticas: ECUACIONES-INTEGRALES-NO-HOMOGENEASAMPLIACIONMATEMATICASEJERCICIOS.pdf

8 páginas

He publicado nuevos ejercicios de 2º Ampliación de Matemáticas: SOLUCIONES-DEFINIDAS-MEDIANTE-SERIESAMPLIACIONMATEMATICASEJERCICIO.pdf

14 páginas

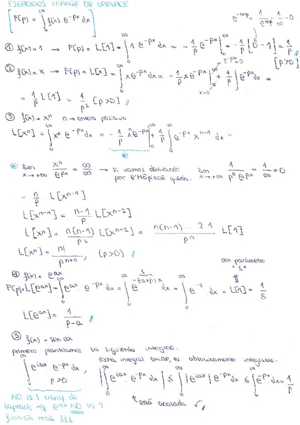
He publicado nuevos apuntes de 2º Ampliación de Matemáticas: TRANSFORMADA-DE-LAPLACEAMPLIACIONMATEMATICASEJERCICIOS.pdf

13 páginas

He publicado nuevos apuntes de 2º Ampliación de Matemáticas: TRANSFORMADA-DE-LAPLACEAMPLIACIONMATEMATICASAPUNTES.pdf

18 páginas

He publicado nuevos ejercicios de 2º Ampliación de Matemáticas: CALCULO-DE-LA-FUNCION-DE-GREENAMPLIACIONMATEMATICASEJERCICIO.pdf

10 páginas

He publicado nuevos ejercicios de 2º Ampliación de Matemáticas: TEORIA-DE-HILBERT-SCHMIDT-PARA-ECUACIONES-INTEGRALESAMPLIACIONMATEMATICASEJERCICIOS.pdf

6 páginas

He publicado nuevos apuntes de 2º Ampliación de Matemáticas: PROBLEMASCONTORNOAMPLIACIONMATEMATICASAPUNTES.pdf

7 páginas

He publicado nuevos apuntes de 2º Ampliación de Matemáticas: TEORIA-DE-HILBERT-SCHMIDT-PARA-ECUACIONES-INTEGRALESAMPLIACIONMATEMATICASAPUNTES.pdf

7 páginas

He publicado nuevos apuntes de 2º Ampliación de Matemáticas: FUNCION-DE-GREENAMPLIACIONMATEMATICASAPUNTES.pdf

5 páginas

He publicado nuevos apuntes de 2º Ampliación de Matemáticas: PROBLEMAS-DE-STURM-LOUVILLEAMPLIACIONMATEMATICASAPUNTES.pdf

14 páginas

He publicado nuevos apuntes de 2º Ampliación de Matemáticas: EXPRESION-DE-LA-SOLUCION-DEL-PROBLEMA-LxYAMPLIACIONMATEMATICASAPUNTES.pdf

2 páginas
¡Estás al día!

¡Estás al día!

Has visto todos los archivos