Ampliación de Química Orgánica I

Todo
Apuntes
Ejercicios
Exámenes
Otros
Prácticas
chevron_left
chevron_right

apuntes

-

RESÚMENES completos

He publicado nuevos apuntes de 3º Ampliación de Química Orgánica I: RESÚMENES completos

Tema-4-formacion-enlaces-CC.pdf
Tema-3-condensacion-aldolica-y-reacciones-analogas.pdf
Tema-2-alquilacion-de-enolatos.pdf
Tema-1-grupos-protectores.pdf

examenes

-

EXÁMENES años anteriores

He publicado nuevos examenes de 3º Ampliación de Química Orgánica I: EXÁMENES años anteriores

Parcial-2025-turno-manana.pdf
Parcial-2025-turno-tarde.pdf
Final-2023.pdf
Parcial-2022-turno-tarde.pdf
Final-2022.pdf
Parcial-2021-turno-manana.pdf

He publicado nuevos ejercicios de 3º Ampliación de Química Orgánica I: Ejercicios-final-de-tema.pdf

9 páginas

ejercicios

-

Seminarios resueltos

He publicado nuevos ejercicios de 3º Ampliación de Química Orgánica I: Seminarios resueltos

Seminario-4-enlaces-CC.pdf
Seminario-3-reacciones-de-condensacion.pdf
Seminario-2-alquilacion-de-enolatos.pdf
Seminario-1-grupos-protectores.pdf
Seminario-0-repaso.pdf
Tema-4-formacion-enlaces-CC.pdf

practicas

-

PRÁCTICAS informes + resúmen

He publicado nuevos practicas de 3º Ampliación de Química Orgánica I: PRÁCTICAS informes + resúmen

Resumen.pdf
Cuestiones.pdf

apuntes

-

tarjetas de repaso

He publicado nuevos apuntes de 3º Ampliación de Química Orgánica I: tarjetas de repaso

repaso-tema-1.pdf
repaso-tema-2.pdf
repaso-tema-3.pdf
repaso-tema-4.pdf
repaso-general.pdf

ejercicios

-

seminarios

He publicado nuevos ejercicios de 3º Ampliación de Química Orgánica I: seminarios

SEMINARIO-0.pdf
SEMINARIO-1.pdf
SEMINARIO-2.pdf
SEMINARIO-3.pdf
SEMINARIO-4.pdf
SEMINARIO-5.pdf

apuntes

-

temario

He publicado nuevos apuntes de 3º Ampliación de Química Orgánica I: temario

TEMA-1.pdf
TEMA-2.pdf
TEMA-3.pdf
TEMA-4.pdf

examenes

-

examenes resueltos

He publicado nuevos examenes de 3º Ampliación de Química Orgánica I: examenes resueltos

examenes-resueltos.pdf

apuntes

-

Apuntes Ampliación de Química Orgánica I

He publicado nuevos apuntes de 3º Ampliación de Química Orgánica I: Apuntes Ampliación de Química Orgánica I

Tema-1-Grupos-Protectores.pdf
Tema-2-Alquilacion-de-enolatos.pdf
Tema-3-Condensacion-aldolica-y-reacciones-analogas.pdf
Tema-4-Formacion-de-enlaces-cc.pdf

examenes

-

Exámenes

He publicado nuevos examenes de 3º Ampliación de Química Orgánica I: Exámenes

Parcial-A.Organica-l-2025.pdf
Examen-ordinaria-2026-AQO-I.pdf

ejercicios

-

Seminarios AQOI

He publicado nuevos ejercicios de 3º Ampliación de Química Orgánica I: Seminarios AQOI

Hoja-5-RESUELTA.pdf

He publicado nuevos ejercicios de 3º Ampliación de Química Orgánica I: Soluciones-Seminario-4-AQO1-2025.pdf

2 páginas

apuntes

-

Apuntes AQOI

He publicado nuevos apuntes de 3º Ampliación de Química Orgánica I: Apuntes AQOI

Tema-4.-Formacion-de-enlaces-cc..pdf
Tema-2.pdf
Tema-1.pdf

ejercicios

-

Seminario

He publicado nuevos ejercicios de 3º Ampliación de Química Orgánica I: Seminario

Hoja 1 TM1 Enunciados.pdf.pdf
Hoja 2 TM2 Enunciados.pdf
Hoja-1-SOLUCIONES-1g-m.pdf
Hoja-2-SOLUCIONES.pdf
Hoja-03-25-26-soluciones.pdf
Hoja-04-SOLUCIONES-25-26.pdf

Resolvemos paso a paso, en este vídeo, el ejercicio 3 del examen parcial del turno de mañana. Por la Academia Universitaria Alberto Química Orgánica.

video

Resolvemos paso a paso, en este vídeo, el ejercicio 2 del examen parcial del turno de tarde. Por la Academia Universitaria Alberto Química Orgánica.

video

apuntes

-

apuntes

He publicado nuevos apuntes de 3º Ampliación de Química Orgánica I: apuntes

tema-1-introduccion.pdf
tema-2-AQO1.pdf

Resultados prácticas ampliación de química orgánica I

6 páginas

GUIONES DE PRÁCTICAS AMPLIACION QUIMICA ORGANICA I

16 páginas

practicas

-

PRACTICAS

He publicado nuevos practicas de 3º Ampliación de Química Orgánica I: PRACTICAS

PRACTICA-2.pdf
PRACTICA-4.pdf
PRACTICA-1.pdf

practicas

-

CUESTIONARIOS

He publicado nuevos practicas de 3º Ampliación de Química Orgánica I: CUESTIONARIOS

PRACTICA-1.pdf
PRACTICA-4.pdf
PRACTICA-2.pdf
PRACTICA-3.pdf

He publicado nuevos practicas de 3º Ampliación de Química Orgánica I: apuntes-practicas-AQO1.pdf

7 páginas

HOJA 2. Ejercicios resueltos Experimentación química orgánica

8 páginas

HOJA 1. Ejercicios resueltos Experimentación química orgánica

7 páginas

EJERCICIOS RESUELTOS Y CORREGIDOS PRÁCTICAS AMPLIACION QUIMICA ORGANICA I

7 páginas

GUION DE PRÁCTICAS: Cromatografía en capa fina y columna

9 páginas

ejercicios

-

Manuscritos Sagrados (Seminarios Resueltos)

DISCLAIMER: El último seminario NO está corregido

Seminario-0-Repaso-de-2o.pdf
Hoja-1-Tema-1-Retrosintesis-y-Procesos-de-OxidacionReduccion.pdf

Ejercicios sin resolver AMPLIACION QUIMICA ORGANICA I

2 páginas

Ejercicios sin resolver AMPLIACION QUIMICA ORGANICA I

2 páginas

Ejercicios sin resolver AMPLIACION QUIMICA ORGANICA I

1 página

Ejercicios sin resolver AMPLIACION QUIMICA ORGANICA I

2 páginas

Ejercicios sin resolver AMPLIACION QUIMICA ORGANICA I: GRUPOS PROTECTORES EN SÍNTESIS ORGÁNICA

2 páginas

Ejercicios sin resolver AMPLIACION QUIMICA ORGANICA I

2 páginas

Ejercicios sin resolver AMPLIACION QUIMICA ORGANICA I

2 páginas

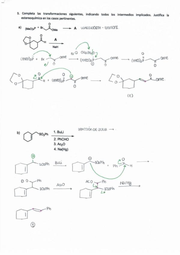
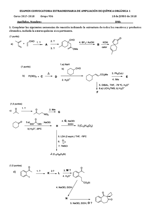
EXAMEN CONVOCATORIA EXTRAORDINARIA SIN RESOLVER DE AMPLIACIÓN DE QUÍMICA ORGÁNICA 1

2 páginas

EXAMEN FINAL SIN RESOLVER DE AMPLIACIÓN DE QUÍMICA ORGÁNICA 1

1 página

Grupos funcionales química orgánica

1 página

Grupos funcionales química orgánica

1 página

Grupos funcionales química orgánica

1 página

Grupos funcionales química orgánica

1 página

¿CÓMO ESCOGER LA DESCONEXIÓN MÁS ADECUADA? AMPLIACION QUIMICA ORGANICA I

2 páginas

Abreviaturas AMPLIACION QUIMICA ORGANICA I

2 páginas

REACCIONES DE ALQUILACIÓN DE ENOLATOS

16 páginas

ALQUILACIÓN DE ENOLATOS

13 páginas

Introducción y grupos protectores AMPLIACION QUIMICA ORGANICA I

56 páginas

FORMACIÓN DE ENLACES C=C

23 páginas

CONDENSACIÓN ALDÓLICA Y REACCIONES ANÁLOGAS

26 páginas

Cuestionario prácticas AMPLIACION QUIMICA ORGANICA I

2 páginas

Guion de prácticas: Cromatografía en capa fina y en columna

9 páginas

Guiones de prácticas: Ampliación de Química Orgánica I

16 páginas

He publicado nuevos apuntes de 3º Ampliación de Química Orgánica I: Libro-de-hechizos-resumen-reacciones.pdf

12 páginas
Anónimo

@Anónimo

otros

-

Seminarios y examen

He publicado nuevos otros de 3º Ampliación de Química Orgánica I: Seminarios y examen

Seminario-07.pdf
Seminario-08.pdf
Seminario-09.pdf
Seminario-10.pdf
Seminario-11.pdf
Seminario-12.pdf
Anónimo

@Anónimo

He publicado nuevos apuntes de 3º Ampliación de Química Orgánica I: Presentacion4.-Formacion-de-enlaces-CC-MC.pdf

23 páginas
Anónimo

@Anónimo

He publicado nuevos apuntes de 3º Ampliación de Química Orgánica I: Tema-2B.-Alquilacion-de-enolatos.pdf

13 páginas
Anónimo

@Anónimo

He publicado nuevos apuntes de 3º Ampliación de Química Orgánica I: Presentacion3.-Condensacion-Aldolica-MC.pdf

26 páginas
Anónimo

@Anónimo

He publicado nuevos apuntes de 3º Ampliación de Química Orgánica I: 1.-Introduccion-y-Grupos-protectores.pdf

55 páginas
Anónimo

@Anónimo

He publicado nuevos apuntes de 3º Ampliación de Química Orgánica I: Tema-2A.-Alquilacion-de-enolatos.pdf

16 páginas
Anónimo

@Anónimo

He publicado nuevos ejercicios de 3º Ampliación de Química Orgánica I: Ejercicios-adicionales-T-4.pdf

1 página
Anónimo

@Anónimo

He publicado nuevos ejercicios de 3º Ampliación de Química Orgánica I: Ejercicios-adicionales-T-3.pdf

1 página