
Asignaturas de Grado en Química (UAM)
Asignatura
arrow_downward3º
•
112 posts
3º
•
122 posts
3º
•
134 posts
3º
•
101 posts
1º
•
132 posts
1º
•
195 posts
2º
•
128 posts
4º
•
0 posts
4º
•
89 posts
4º
•
100 posts
3º
•
177 posts
2º
•
172 posts
4º
•
92 posts
1º
•
170 posts
1º
•
252 posts
1º
•
274 posts
1º
•
264 posts
4º
•
1 posts
3º
•
149 posts
1º
•
200 posts
1º
•
172 posts
4º
•
12 posts
4º
•
2 posts
4º
•
38 posts
4º
•
54 posts
4º
•
12 posts
4º
•
4 posts
2º
•
186 posts
2º
•
176 posts
3º
•
135 posts
3º
•
111 posts
4º
•
3 posts
4º
•
2 posts
2º
•
223 posts
2º
•
188 posts
3º
•
139 posts
3º
•
161 posts
4º
•
27 posts
1º
•
89 posts
1º
•
276 posts
2º
•
180 posts
2º
•
198 posts
2º
•
198 posts
2º
•
163 posts
4º
•
1 posts
4º
•
30 posts
4º
•
6 posts
4º
•
3 posts
Últimas publicaciones de Grado en Química (UAM)
apuntes
-
Seminarios ampliación inorganica 1
He publicado nuevos apuntes de 3º Ampliación de Química Inorgánica I: Seminarios ampliación inorganica 1
examenes
-
Exámenes
He publicado nuevos examenes de 2º Química Inorgánica I: Exámenes
apuntes
-
Apuntes
He publicado nuevos apuntes de 4º Control y Garantía de Calidad: Apuntes
apuntes
-
Apuntes
He publicado nuevos apuntes de 4º Proyectos y Procesos en la Industria Química: Apuntes
Ciencia de Materiales es dura, pero con los tests que he subido a proxus.es se hace más fácil. Incluyen modos de estudio y examen, os sava segurooo!
Estoy flipando con los tests de proxus.es para estudiar Determinación Estructural. Te genera exámenes reales y te ayuda a repasar las falladas. Recomendado 100%.
Estoy flipando con los tests de proxus.es para estudiar Determinación Estructural. Te genera exámenes reales y te ayuda a repasar las falladas. Recomendado 100%.
Estoy flipando con los tests de proxus.es para estudiar Química General II. Te genera exámenes reales y te ayuda a repasar las falladas. Recomendado 100%.
He empezado a usar proxus.es para Química Analítica II y wow, los tests con IA son perfectos para simulacros de examen realistas. Solo hay que subir los apuntes o exámenes pasados.
He creado unos tests con IA en proxus.es y van muy bien, os lo recomiendo! Sirven un montón para repasar y darte cuenta de lo que aún no controlas, hay varios modos de generar y puedes resolver luego las falladas.
Aprovechad los apuntes de aquí y crearos unos test en proxus.es con su IA, a mí me ha dejado flipando de verdad! Me he preparado en una tarde un examen de 5 temas, echarle un ojo :))
Bioquímica es dura, pero con los tests que he subido a proxus.es se hace más fácil. Incluyen modos de estudio y examen, os sava segurooo!
Practicando con tests de proxus.es para las recus del año pasado, vi que no estaba tan preparada como pensaba, pero repasé lo justo y aprobé. Ahora para Química Analítica I lo uso desde el principio.
Para Matemáticas I, lo mejor para estudiar son los tests compartidos en proxus.es, os van a facilitar la vida un montón. Y si no os cuadran los que hay podéis generar los vuestros con IA súper fácil
apuntes
-
Apuntes orgánica
He publicado nuevos apuntes de 2º Química Orgánica I: Apuntes orgánica
Seminario 12. Compuestos de coordinación. Ejercicios resueltos
ejercicios
-
Seminarios corregidos
He publicado nuevos ejercicios de 2º Química Analítica I: Seminarios corregidos
apuntes
-
Apuntes mate I
He publicado nuevos apuntes de 1º Matemáticas I: Apuntes mate I
Diagrama constantes condicionale H4A (ácidos polipróticos)
apuntes
-
Apuntes
He publicado nuevos apuntes de 4º Ciencia de Materiales: Apuntes
examenes
-
Exámenes
He publicado nuevos examenes de 3º Química Analítica Instrumental I: Exámenes
examenes
-
Exámenes
He publicado nuevos examenes de 3º Ampliación de Química Orgánica I: Exámenes
ejercicios
-
Seminario
He publicado nuevos ejercicios de 3º Ampliación de Química Orgánica I: Seminario
examenes
-
Exámenes
He publicado nuevos examenes de 3º Quimica Física III: Exámenes
Examenes ejercicios combinados determinación estructural
Seminario 5. Equilibrios de precipitación I
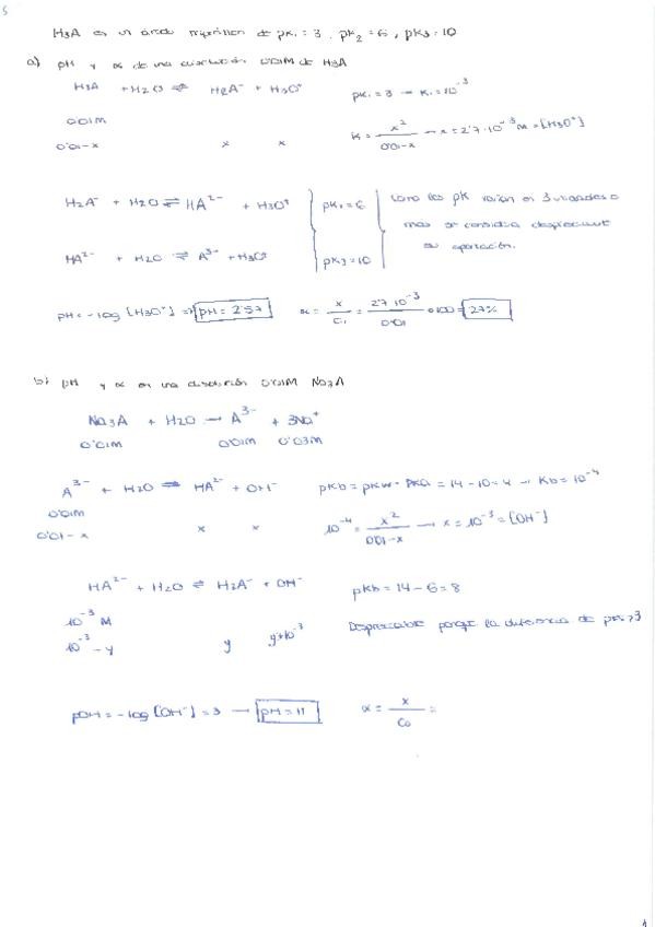
Ejercicios resueltos equilibrios ácido base
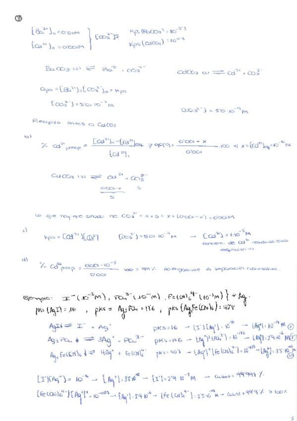
Seminario 6. Equilibrios de precipitación II (complejos)
ejercicios
-
Seminarios 2025
He publicado nuevos ejercicios de 2º Química Orgánica I: Seminarios 2025
apuntes
-
Apuntes por temas
He publicado nuevos apuntes de 2º Estadística: Apuntes por temas
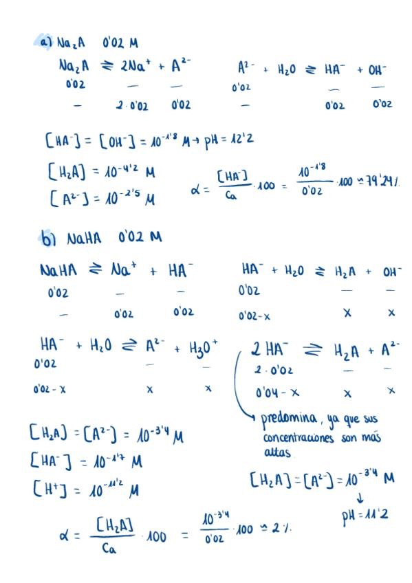
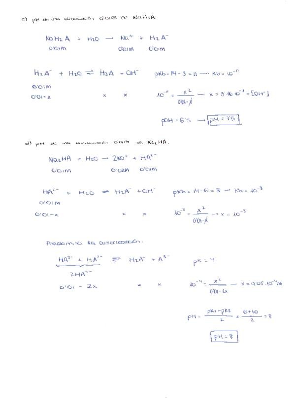
Ejercicios tema 4. Constantes condicionales







