Portada
Asignatura
Máster en Ingeniería de Caminos, Canales y Puertos (UGR)
Análisis Avanzado de Estructuras
Fecha de subida
13 feb 2020
Categoría
ejercicios
Etiquetas
Ejercicios - EJERCICIOS-RESUELTOS-20191212.zip
zip
71
0
Exámenes - Examen-Enero-2018.pdf
pdf
2 páginas
100
Prácticas - Practica-sobre-el-Metodo-de-Navier.pdf
14 páginas
66
Exámenes - Examen-enero-2019.pdf
1 página
Exámenes - Examen-Feb-2017.pdf
72
Prácticas - Ejercicios.pdf
6 páginas
58
Prácticas - Practica-sobre-laminas.pdf
10 páginas
50
Exámenes - Enunciado-examen-Julio-2017.pdf
62
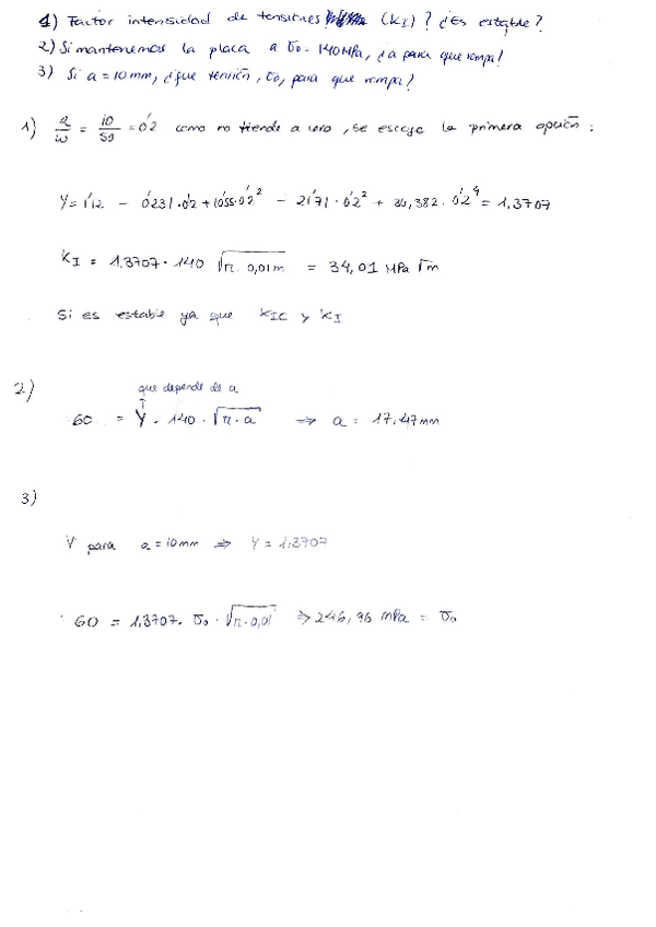
Ejercicios - Ejercicio-grietas.pdf
45
Prácticas - Examen-resuelto2016.pdf
4 páginas
47
Prácticas - PRACTICA-sobre-Metodo-de-Levy.pdf
8 páginas
Prácticas - Examen-resueltonoviembre-2017.pdf
48
Prácticas - Examen-resueltoenero-2019.pdf
Ejercicios - Ejercicio-grieta.pdf
43
Prácticas - Practica-sobre-solucion-analitica-de-una-placa.pdf
44
Prácticas - practica-6-analisis-laminas.pdf
9 páginas
35
Prácticas - Practica-2PINEDA.pdf
17 páginas
30
Prácticas - Practica3-PINEDA.pdf
24
Apuntes - P6.pdf
23
Prácticas - Practica-5PINEDA.pdf
19