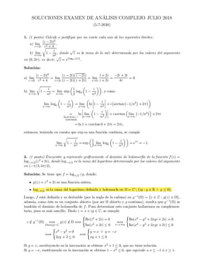
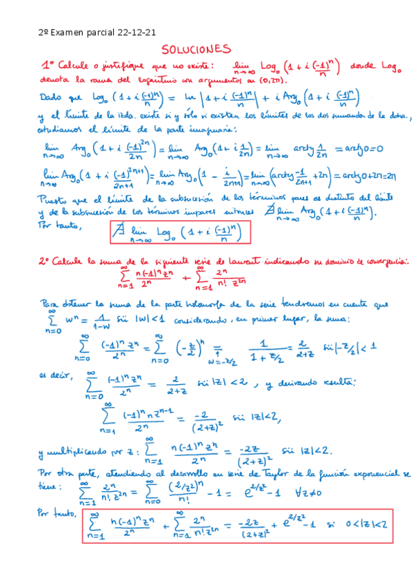
2018julio.pdf
Anónimo
Portada
Asignatura
account_balance
Grado en Matemáticas e Informática (UPM)
Fecha de subida
15 ene 2022
Categoría
apuntes
Etiquetas
content_copy
Anónimo
Portada
Asignatura
Grado en Matemáticas e Informática (UPM)
Fecha de subida
15 ene 2022
Categoría
apuntes
Etiquetas