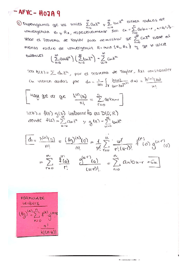
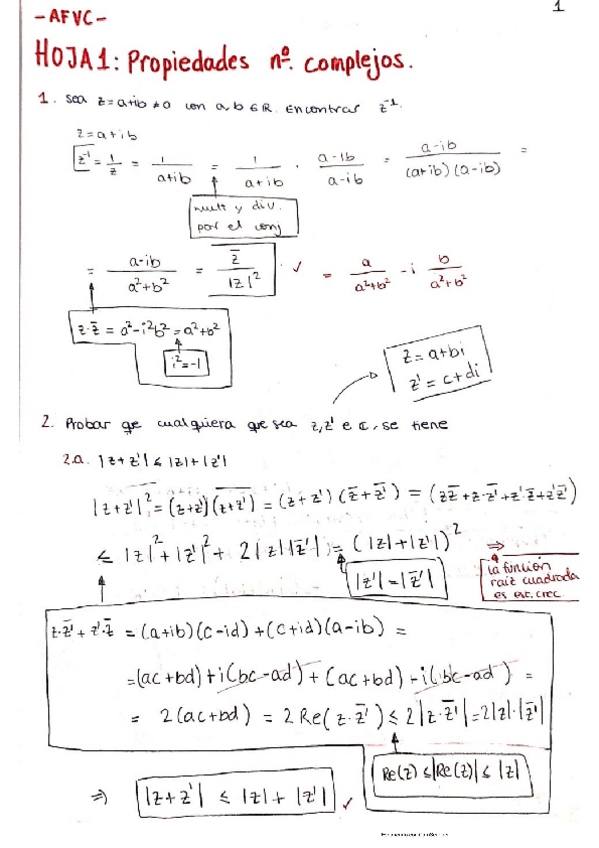
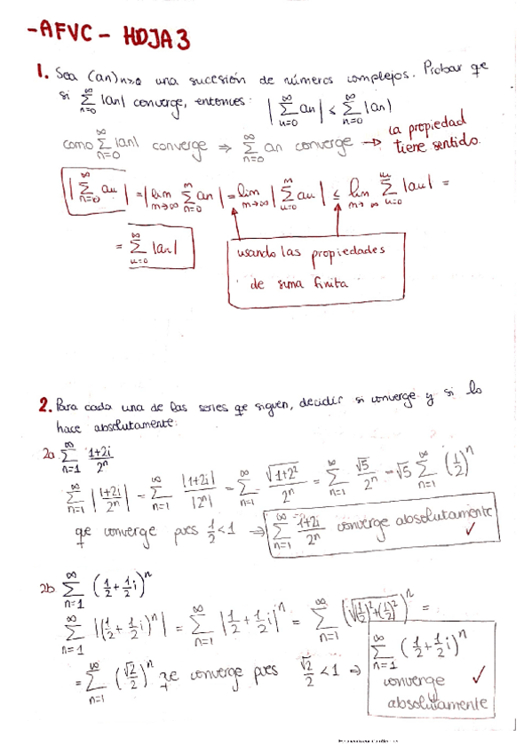
Anónimo
Portada
Asignatura
Grado en Matemáticas (UCM)
Análisis de Funciones de Variable Compleja
Fecha de subida
31 oct 2022
Categoría
ejercicios
Etiquetas
Ejercicios - Ejercicios resueltos.pdf
pdf
36 páginas
241
1
Exámenes - SolucionProblemasExamen170125.pdf
4 páginas
162
0
Exámenes - Analisis-Complejo-Enero-2020-Resuelto.pdf
6 páginas
136
2
Ejercicios - AFVC-Hoja-1.pdf
31 páginas
137
Ejercicios - AFVC-Hoja-2.pdf
26 páginas
150
Ejercicios - AFVC-Hoja-3.pdf
16 páginas
144
Exámenes - Analisis-Complejo-Junio-2020-Resuelto.pdf
119
Ejercicios - Hoja-3.pdf
17 páginas
88
Apuntes - AManualAFVC2016_17Corregido.pdf
109 páginas
67
Exámenes - Examen-Cobos-2021-resuelto-y-ejs-extra-d.pdf
96
Ejercicios - Hoja-1.pdf
24 páginas
82
Ejercicios - EJERCICIOS-COMPLETOS-COBOS.pdf
55 páginas
72
Ejercicios - Hoja-2.pdf
87
Apuntes - Teoremas-y-definiciones-importantes.pdf
10 páginas
23
21 páginas
Ejercicios - AFVC-Hoja-5-CORREGIDA-F.pdf
7 páginas
Ejercicios - Todos-los-ejercicios-I.pdf
20 páginas
65
Ejercicios - AFVC-Hoja-4-CORREGIDA-F.pdf
75
Ejercicios - AFVC-HOJA-8-COREEGIDA-Cobos.pdf
8 páginas
68
Apuntes - T1.pdf
53
3