Anónimo
Portada
Asignatura
Grado en Relaciones Internacionales (UAB)
ANÁLISIS DE LAS POLÍTICAS PÚBLICAS
Fecha de subida
15 mar 2023
Categoría
apuntes
Etiquetas
Apuntes - APP-apuntes.docx
docx
39
0
Apuntes - PPA-FINAL.pdf
pdf
63 páginas
38
Apuntes - Public-Policy-Analysis-Apuntes-2021-2022.pdf
29 páginas
29
Apuntes - Public Policy Analysis: apuntes finales en inglés APP.pdf
32 páginas
23
Apuntes - Glossary.pdf
15 páginas
9
Apuntes - Public-Policies-Analysis-22-23.pdf
28 páginas
11
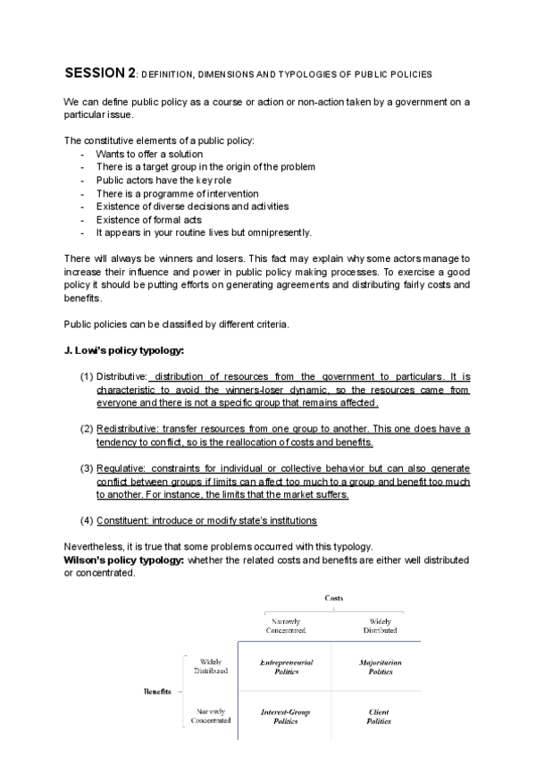
1