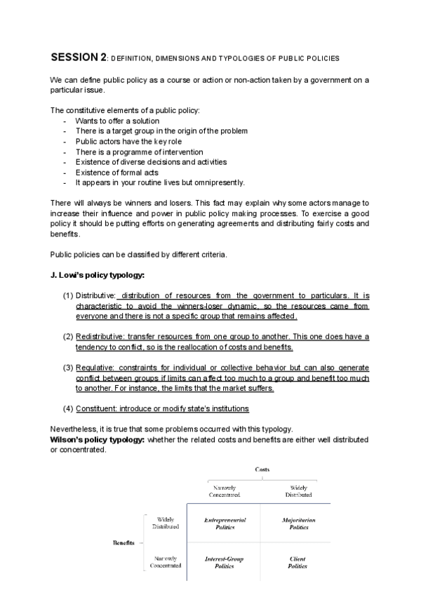
chevron_left
chevron_right
Todo
Apuntes
chevron_left
chevron_right

Glossari amb tots els conceptes treballats durant l'assignatura

15 páginas
Anónimo

@Anónimo

He publicado nuevos apuntes de 2º ANÁLISIS DE LAS POLÍTICAS PÚBLICAS: Public Policy Analysis: apuntes finales en inglés APP.pdf

32 páginas

He publicado nuevos apuntes de 2º ANÁLISIS DE LAS POLÍTICAS PÚBLICAS: PPA-FINAL.pdf

63 páginas

He publicado nuevos apuntes de 2º ANÁLISIS DE LAS POLÍTICAS PÚBLICAS: Public-Policies-Analysis-22-23.pdf

28 páginas
Anónimo

@Anónimo

He publicado nuevos apuntes de 2º ANÁLISIS DE LAS POLÍTICAS PÚBLICAS: Public-Policy-Analysis-Apuntes-2021-2022.pdf

29 páginas

He publicado nuevos apuntes de 2º ANÁLISIS DE LAS POLÍTICAS PÚBLICAS: APP-apuntes.docx

word
¡Estás al día!

¡Estás al día!

Has visto todos los archivos