Portada
Asignatura
Grado en Física (UA)
ANÁLISIS DE VARIABLE COMPLEJA
Fecha de subida
15 jun 2023
Categoría
apuntes
Etiquetas
Apuntes - ApuntesanalisiscomplejoInaky.pdf
pdf
61 páginas
49
2
Apuntes - Complejo-Apuntes-latex.pdf
58 páginas
48
0
Ejercicios - Hoja-5.pdf
10 páginas
42
Apuntes - Hoja-6.pdf
38
Apuntes - Hoja-5.pdf
6 páginas
Apuntes - Hoja-1.pdf
8 páginas
39
Apuntes - Hoja-4.pdf
4 páginas
32
Apuntes - Hoja-7.pdf
7 páginas
33
Apuntes - Hoja-3.pdf
5 páginas
35
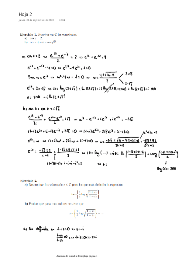
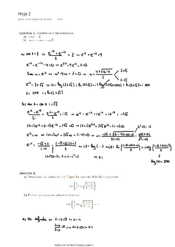
Apuntes - Hoja-2.pdf
3 páginas
Ejercicios - Hoja-4.pdf
30
Ejercicios - Hoja-6.pdf
1
Ejercicios - Hoja-3.pdf
27
Ejercicios - Hoja-7.pdf
24
Ejercicios - Hoja-1.pdf
11 páginas
25
Ejercicios - Hoja-2.pdf
23
Apuntes - pruebascomplejo2324.pdf
2 páginas
Apuntes - Final-2023-resuelto.pdf
Ejercicios - Puebas-Corregidas.pdf
Exámenes - Final-Enero-2021-Resuelto.pdf
1 página