Análisis de Variable Real

Todo
Apuntes
Ejercicios
Exámenes
Otros
Prácticas
Trabajos
chevron_left
chevron_right

He publicado nuevos examenes de 1º Análisis de Variable Real: Examen-Enero-2025-AVR (Cembranos y Mendoza).pdf.pdf

2 páginas

apuntes

-

Apuntes 1º Cuatri (Cembranos y Mendoza)

He publicado nuevos apuntes de 1º Análisis de Variable Real: Apuntes 1º Cuatri (Cembranos y Mendoza)

Tema-1-Preliminares-AVR (Cembranos y Mendoza).pdf.pdf
Tema-2-Numeros-Reales-AVR (Cembranos y Mendoza).pdf.pdf
Tema-3-Sucesiones-AVR (Cembranos y Mendoza).pdf.pdf
Tema-4-Limites-de-funciones-AVR (Cembranos y Mendoza).pdf.pdf
Tema-5-Funciones-continuas-AVR (Cembranos y Mendoza).pdf.pdf

apuntes

-

M4 Análisis de la Variable Real

He publicado nuevos apuntes de 1º Análisis de Variable Real: M4 Análisis de la Variable Real

Continuidad-de-una-Funcion.pdf
Calculo-Diferencial.pdf
Integracion.pdf
Series-Numericas.pdf
Series-de-Funciones.pdf

Demostraciones importantes. Segundo cuatri. Cembranos y Mendoza.

6 páginas

ejercicios

-

Ampliación ejercicios integrales

He publicado nuevos ejercicios de 1º Análisis de Variable Real: Ampliación ejercicios integrales

Funciones-de-Eulerpagenumber.pdf
Integracion-por-derivacionpagenumber.pdf
Integrales-como-sumaspagenumber.pdf
Calculo-de-areas-y-volumenespagenumber.pdf
Calculo-de-longitudespagenumber.pdf

examenes

-

Exámenes resueltos

He publicado nuevos examenes de 1º Análisis de Variable Real: Exámenes resueltos

Final-2011.pdf.pdf
Final-2011-Juliopagenumber.pdf
Final-2019-Eneropagenumber.pdf
Final-2020-Eneropagenumber.pdf
Parcial-2018-diciembrepagenumber.pdf
Parcial-2018-noviembrepagenumber.pdf

ejercicios

-

Ejercicios

He publicado nuevos ejercicios de 1º Análisis de Variable Real: Ejercicios

Ejercicios-T1-Calculo-de-Primitivas.pdf
Ejercicios-T2-La-integral-definida.pdf
Ejercicios-T3-Integrales-impropias.pdf
Tema-1-Induccion-matematica-y-acotacion-de-conjuntospagenumber.pdf
Tema-2-Limites-de-sucesionespagenumber.pdf
Tema-3-Limites-y-continuidad-de-funcionespagenumber.pdf

apuntes

-

Apuntes y resúmenes

He publicado nuevos apuntes de 1º Análisis de Variable Real: Apuntes y resúmenes

Resumen-T1-T2-Numeros-y-sucesiones.pdf
Resumen-T3-Continuidad-y-limites.pdf
Tema-1-La-primitiva.pdf
Tema-2-La-integral-definida.pdf
Tema-3-La-integral-impropia.pdf
Tema-4-Series-numericas.pdf

He publicado nuevos practicas de 1º Análisis de Variable Real: Prueba-evaluable-2.-AVR.pdf

2 páginas

He publicado nuevos practicas de 1º Análisis de Variable Real: Prueba-evaluable-1.-AVR.pdf

2 páginas

He publicado nuevos practicas de 1º Análisis de Variable Real: Practica-evaluable-3.-AVR.pdf

3 páginas

He publicado nuevos apuntes de 1º Análisis de Variable Real: TEORIA-ANALISIS-SEGUNDO-PARCIAL.pdf

5 páginas

He publicado nuevos examenes de 1º Análisis de Variable Real: Parcial-Noviembre-Analisis-2024.-Modelo-1.pdf

4 páginas

He publicado nuevos examenes de 1º Análisis de Variable Real: Parcial-Noviembre-Analisis-2024-Modelo-2.pdf

4 páginas

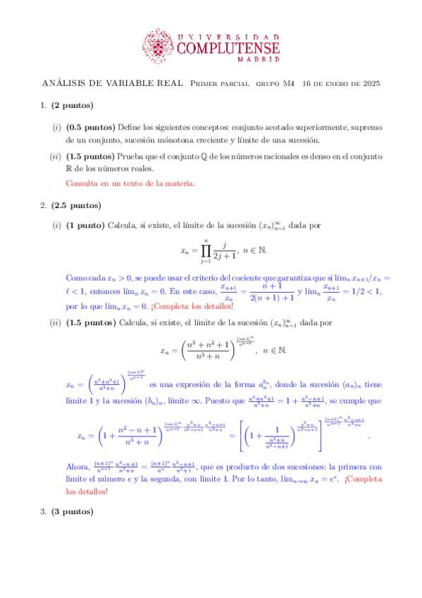
He publicado nuevos examenes de 1º Análisis de Variable Real: Parcial-Enero-1er-Cuatri-Analisis-2025.pdf

4 páginas

He publicado nuevos examenes de 1º Análisis de Variable Real: Examen-Ordinaria-1er-Cuatri-Analisis-2025.pdf

4 páginas

Exámenes resueltos de Cembranos y Mendoza

24 páginas

examenes

-

Examen 2° parcial mayo 2025, grupo T1 - Sheldi Ombrossi

Examen con apuntes y libros de texto

Examen-Resuelto-2-parcial-2025.pdf

He publicado nuevos apuntes de 1º Análisis de Variable Real: Ejercicios-y-Apuntes-Espacio-Afin.pdf

10 páginas

He publicado nuevos apuntes de 1º Análisis de Variable Real: Ejercicios-Apuntes-y-Ejercicios-Conicas-y-Polares.pdf

18 páginas

He publicado nuevos ejercicios de 1º Análisis de Variable Real: Ejercicios-Modelo-Espacio-Dual.pdf

2 páginas

He publicado nuevos apuntes de 1º Análisis de Variable Real: Cuadro-Conicas-Maria-Jesus-de-la-Puente.pdf

1 página

He publicado nuevos apuntes de 1º Análisis de Variable Real: Ejercicio-Modelo-Completo-Resuelto-de-Forma-Real-de-Jordan.jpg

Imagen

He publicado nuevos apuntes de 1º Análisis de Variable Real: Apuntes-y-Ejercicios-Isometrias.pdf

1 página

He publicado nuevos ejercicios de 1º Análisis de Variable Real: Apuntes-y-Ejercicios-Formas-Cuadraticas.pdf

2 páginas

He publicado nuevos ejercicios de 1º Análisis de Variable Real: Apuntes-y-Ejercicios-Aplicaciones-Afines.pdf

4 páginas

He publicado nuevos examenes de 1º Análisis de Variable Real: Segundo-Parcial-Mayo-2025.-Maria-Jesus-de-la-Puente.pdf

1 página

He publicado nuevos examenes de 1º Análisis de Variable Real: Examen-Analisis-2o-parcial.-Cembranos-y-Mendoza.-2024-2025.pdf

1 página

ejercicios

-

EJERCICIOS RESUELTOS

He publicado nuevos ejercicios de 1º Análisis de Variable Real: EJERCICIOS RESUELTOS

Ejercicios-resueltos-T5.pdf
Ejercicios-resueltos-T6.pdf
Ejercicios-resueltos-T7.pdf
Ejercicios-resueltos-T8.pdf
Hoja-9-Analisis.pdf

ejercicios

-

Muchos Ejercicios de Examen Resueltos con Anotaciones

He publicado nuevos ejercicios de 1º Análisis de Variable Real: Muchos Ejercicios de Examen Resueltos con Anotaciones

EJERCICIOS-RESUELTOS-I.pdf
EJERCICIOS-RESUELTOS-II.pdf
Hoja-10-Analisis.pdf

apuntes

-

Temario Análisis Segundo Cuatri.

He publicado nuevos apuntes de 1º Análisis de Variable Real: Temario Análisis Segundo Cuatri.

Tema-2.-Taylor.pdf
Tema-3.-Integracion.pdf
Tema-1.-Derivacion.pdf
Tema-4.-Series.pdf

ejercicios

-

Hojas de ejercicios resueltas. Análisis. Cembranos y Mendoza

He publicado nuevos ejercicios de 1º Análisis de Variable Real: Hojas de ejercicios resueltas. Análisis. Cembranos y Mendoza

Hoja-6.-Integracion-I..pdf
Hoja-7.-Aplicaciones-de-la-integral.-Integrales-impropias.pdf
Hoja-10..pdf
Hoja-5.-Calculo-de-primitivas..pdf
Hoja-8..pdf
Hoja-9.-Sucesiones-y-series-de-funciones.-Series-de-potencias.pdf

He publicado nuevos apuntes de 1º Análisis de Variable Real: ProbAVRHoja11continuidadUniforme..pdf

1 página

He publicado nuevos apuntes de 1º Análisis de Variable Real: ProbAVRHoja10continuidad2..pdf

1 página

He publicado nuevos apuntes de 1º Análisis de Variable Real: ProbAVRHoja9continuidad..pdf

2 páginas

He publicado nuevos apuntes de 1º Análisis de Variable Real: ProbAVRHoja8limites.pdf

1 página

He publicado nuevos apuntes de 1º Análisis de Variable Real: PronAVRHoja7series.pdf

1 página

He publicado nuevos apuntes de 1º Análisis de Variable Real: ProbAVRHoja6sucesiones2.pdf

2 páginas

He publicado nuevos apuntes de 1º Análisis de Variable Real: ProbAVRHoja6Topologia..pdf

1 página

He publicado nuevos apuntes de 1º Análisis de Variable Real: Hoja3ejercicios2024AVR.pdf

1 página

He publicado nuevos apuntes de 1º Análisis de Variable Real: ProbAVRHoja4sucesione1..pdf

2 páginas

He publicado nuevos apuntes de 1º Análisis de Variable Real: ProbAVRHoja2.pdf

1 página

He publicado nuevos apuntes de 1º Análisis de Variable Real: ProbAVRHoja1.pdf

1 página

apuntes

-

Apuntes Cembranos:Apuntes series(incluido hojas corregidas)

He publicado nuevos apuntes de 1º Análisis de Variable Real: Apuntes Cembranos:Apuntes series(incluido hojas corregidas)

Apuntes-series-de-potencias-cembranos.pdf
Series-de-numeros-reales-corregida-parte-2.pdf
Apuntes-series-cembranos.pdf
Apuntes-sucesiones-y-series-de-funciones-cembranos.pdf
Convergencia-uniforme-corregida.pdf
Series-de-numeros-reales-corregidaparte-1.pdf

apuntes

-

Apuntes Cembranos: Apuntes integrales(incluido hoja corregidas)

He publicado nuevos apuntes de 1º Análisis de Variable Real: Apuntes Cembranos: Apuntes integrales(incluido hoja corregidas)

Integracion-I-corregida-parte-2.pdf
Apuntes-integracion-cembranos.pdf
Integracion-I-corregida-parte-1.pdf
Aplicaciones-de-integral.-Integrales-impropias-corregida-formato-comprimido.pdf
Aplicaciones-integrales.-Integrales-impropias-corregidaparte-2-formato-comprimido.pdf

apuntes

-

Apuntes Cembranos :Apuntes cálculo primitivas(incluido hoja de ejercicios corregida)

He publicado nuevos apuntes de 1º Análisis de Variable Real: Apuntes Cembranos :Apuntes cálculo primitivas(incluido hoja de ejercicios corregida)

Apuntes-calculo-de-primitivas-cembranos-parte-2.pdf
Calculo-de-primitivas-corregida.pdf
Apuntes-calculo-de-primitivas-cembranos-parte-1.pdf

He publicado nuevos apuntes de 1º Análisis de Variable Real: DefinicionesyTeoremas-1cuatriresumen.pdf

16 páginas

Falta completarlo en algunos ejemplos

2 páginas

He publicado nuevos examenes de 1º Análisis de Variable Real: Test 1 -JavierSoria2024/25.pdf

4 páginas

apuntes

-

Apuntes Cembranos: apuntes derivacion(incluido hojas ejercicios derivación I,II,III corregidas)

He publicado nuevos apuntes de 1º Análisis de Variable Real: Apuntes Cembranos: apuntes derivacion(incluido hojas ejercicios derivación I,II,III corregidas)

Derivacion-I-corregida.pdf
Apuntes-derivacion-cembranosparte-2.pdf
Derivacion-III-corregidaparte-1.pdf
Derivacion-III-corregidaparte-2.pdf
Apuntes-derivacion-cembranosparte-1.pdf
Repaso-calculo-de-derivadas-corregida.pdf

apuntes

-

Apuntes Cembranos:Apuntes funciones continuas, Hoja funciones continuas I,II,III corregidas

He publicado nuevos apuntes de 1º Análisis de Variable Real: Apuntes Cembranos:Apuntes funciones continuas, Hoja funciones continuas I,II,III corregidas

Funciones-continuas-III-corregida.pdf
Funciones-continuas-II-corregida.pdf
Apuntes-funciones-continuas-cembranos.pdf
Funciones-continuas-I-corregida.pdf

He publicado nuevos apuntes de 1º Análisis de Variable Real: Ejercicios 1º Parcial.pdf

82 páginas

examenes

-

Exámenes

He publicado nuevos examenes de 1º Análisis de Variable Real: Exámenes

extras.pdf
parciales.pdf

examenes

-

Exámenes corregidos Ignacio Villanueva

He publicado nuevos examenes de 1º Análisis de Variable Real: Exámenes corregidos Ignacio Villanueva

Examen-final-junio-2017 corregido.pdf
Examen-1-parcial-2017 corregido .pdf
Examen-1-parcial corregido.pdf
Examen-final-2024 corregido .pdf

examenes

-

Exámenes corregidos de pilar cembranos y José Mendoza

He publicado nuevos examenes de 1º Análisis de Variable Real: Exámenes corregidos de pilar cembranos y José Mendoza

Examen-1-parcial-cembranos-febrero-2021 corregido.pdf
Examen-2-parcial-cembranos-mayo-2019 corregido.pdf
Examen-2-parcial-cembranos-junio-2021 corregido.pdf
Examen-2-parcial-Mendoza-2024-mayo corregido .pdf
Examen-Mendoza-mayo-2021 corregido.pdf
Examen-Mendoza.pdf

He publicado nuevos apuntes de 1º Análisis de Variable Real: Tema-6-Transformaciones-de-Mobius.pdf

9 páginas

apuntes

-

Apuntes Cembranos:Límites de funciones(incluido hojas corregidas)

He publicado nuevos apuntes de 1º Análisis de Variable Real: Apuntes Cembranos:Límites de funciones(incluido hojas corregidas)

Limites-de-funciones-corregida.pdf
Apuntes-limites-de-funciones-cembranos.pdf

apuntes

-

Límites (incluido hojas corregidas)

He publicado nuevos apuntes de 1º Análisis de Variable Real: Límites (incluido hojas corregidas)

Hoja-3-corregida.pdf
LIMITES.pdf
Hoja-4-corregida.pdf

apuntes

-

Temario Análisis Primer Cuatri

Temario completo de Análisis del Primer cuatrimestre

Analisis-I.pdf
Analisis-II.pdf

apuntes

-

Apuntes Cembranos:Sucesiones números reales(incluido hojas corregidas:Sucesiones I, sucesiones II y sucesiones III)

He publicado nuevos apuntes de 1º Análisis de Variable Real: Apuntes Cembranos:Sucesiones números reales(incluido hojas corregidas:Sucesiones I, sucesiones II y sucesiones III)

Sucesiones-II-corregida.pdf
Apuntes-sucesiones-de-numeros-reales-cembranos.pdf
Sucesiones-I-corregida.pdf
Sucesiones-III-corregida.pdf