fisikk
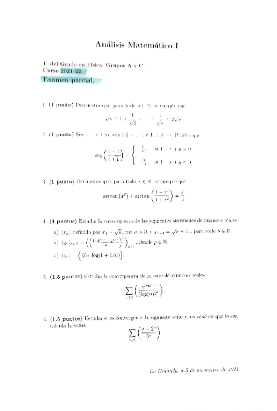
Ex-Parcial-2021-Resuelto-ANALISIS.pdf
12 páginas
Ejercicios - Relación 4 - Sucesiones (explicados).pdf
pdf
34 páginas
314
6
Ejercicios - Relación 7 - Derivadas (explicados).pdf
58 páginas
296
9
Ejercicios - Relación 5 - Series (explicados).pdf
35 páginas
292
7
Ejercicios - Relación 8 - Integrales (explicados).pdf
65 páginas
272
10
Exámenes - ExamenesAnalisisMatematicoI.pdf
94 páginas
419
Ejercicios - Relación 6 - Límites (explicados).pdf
22 páginas
234
Exámenes - ExamenFinalExtraEnero2020sol-1.pdf
6 páginas
374
2
Apuntes - relacion-series.pdf
19 páginas
396
1
Ejercicios - Relación 2 - Complejos (explicados).pdf
21 páginas
203
4
Exámenes - Ex-Parcial-2021-Resuelto-ANALISIS.pdf
435
0
Apuntes - relacion-sucesion.pdf
17 páginas
444
3
Apuntes - ejercicios-7-2020-21-derivadas.pdf
310
Apuntes - ejercicioslimites20-21reformada.pdf
8 páginas
324
8
Exámenes - ANÁLISIS_MATEMATICO_I_final_enero_2018.pdf
1 página
201
Exámenes - Analisis2020.pdf
5 páginas
349
Apuntes - ejercicios-8-2021-integrales.pdf
251
Exámenes - resuelto-ordinario-2021-analisis.pdf
289
Exámenes - Examen-Analisis1-2019-01-22-Resuelto.pdf
257
Exámenes - Soluciones.pdf
0 páginas
255
Ejercicios - EjerciciosResueltosSeries.pdf
269