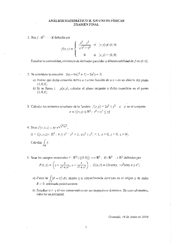
Portada
Asignatura
Grado en Física (UGR)
Análisis Matemático II
Fecha de subida
02 jul 2018
Categoría
examenes
Etiquetas
Ejercicios - Relación 4 - Diferenciabilidad II (explicados).pdf
pdf
47 páginas
243
5
Ejercicios - Relación 5 - Integración (explicados).pdf
30 páginas
252
6
Ejercicios - Relación 6 - Integrales de línea (explicados).pdf
16 páginas
222
Exámenes - Ex-20190703FinalExtraord-RESUELTO.pdf
9 páginas
244
0
Ejercicios - Relación 3 - Diferenciabilidad I (explicados).pdf
48 páginas
156
2
Exámenes - ejerciciosexamenes.pdf
41 páginas
3
Ejercicios - Relación 2 - Limites-continuidad (explicados).pdf
11 páginas
131
1
Exámenes - final-solucion.pdf
12 páginas
145
Exámenes - Examen 2Parcial 25-05-2018 CORREGIDO.pdf
10 páginas
133
Exámenes - Examen-ordinario-A.pdf
1 página
174
Exámenes - prueba 1-solucion.pdf
8 páginas
104
Apuntes - Ex-20190611Ord-RESUELTO.pdf
100
Apuntes - Diferenciabilidad-I-Tipo-de-ejercicios.pdf
6 páginas
112
4
Exámenes - Examen 1Parcial 20-04-2018 CORREGIDO.pdf
115
Apuntes - apuntesanalisis2.pdf
86 páginas
82
Ejercicios - Relacion-3.-Diferenciabilidad-1.pdf
17 páginas
139
Exámenes - Examen 1Parcial 28-4-2017 CORREGIDO.pdf
4 páginas
76
Exámenes - Examen Junio 1ª y 2ª parte 10-06-2017 CORREGIDO.pdf
18 páginas
93
Exámenes - IMG20200210161456.jpg
jpg
31
Exámenes - Control1.pdf
117