AmigoCanario
Relaciones RESUELTAS
relacion-6-soluciones.pdf
53 páginas
relacion-5-soluciones.pdf
14 páginas
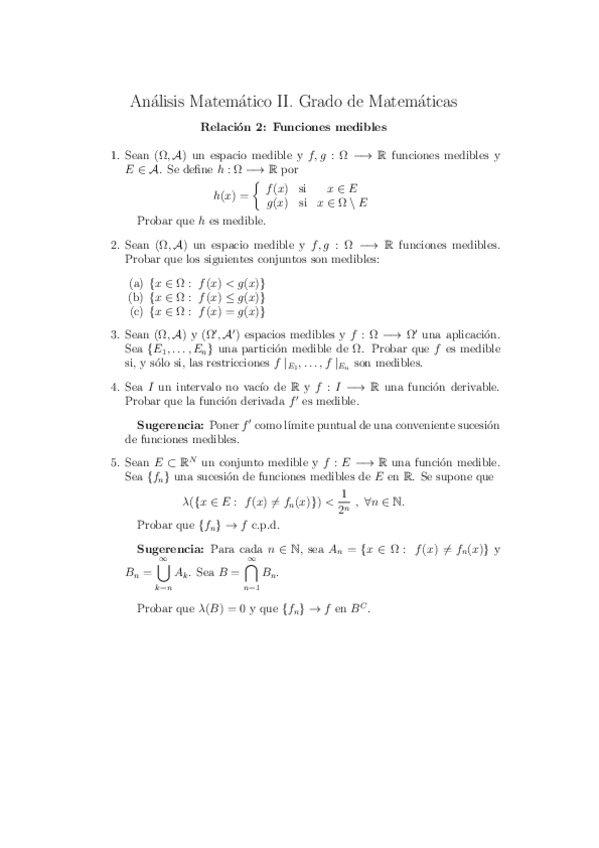
relacion-2-soluciones.pdf
9 páginas
relacion-8-soluciones.pdf
57 páginas
relacion-3-soluciones.pdf
23 páginas
relacion7soluciones.pdf
25 páginas
relacion-4-soluciones.pdf
17 páginas
Exámenes - examen-final-solucion.pdf
pdf
19 páginas
523
0
Exámenes - prueba-1-solucion.pdf
321
Ejercicios - relacion-6-soluciones.pdf
310
Apuntes - Relacion-1-analisis-2.pdf
10 páginas
134
1
Apuntes - Clases-de-Practicas-analisis-II.pdf
24 páginas
115
Apuntes - Relacion-2-analisis-2.pdf
129
Apuntes - Tema-2.pdf
11 páginas
110
Apuntes - Tema-1.pdf
Apuntes - Relacion-0-analisis-2.pdf
6 páginas
Apuntes - Tema-0.pdf
109
Apuntes - AMII.pdf
88 páginas
146
Ejercicios - relacion-8-soluciones.pdf
241
Exámenes - Prueba1Soluciones.pdf
8 páginas
205
Exámenes - SolucionesFinal.pdf
149
111
Exámenes - Parcial 2021.pdf
1 página
237
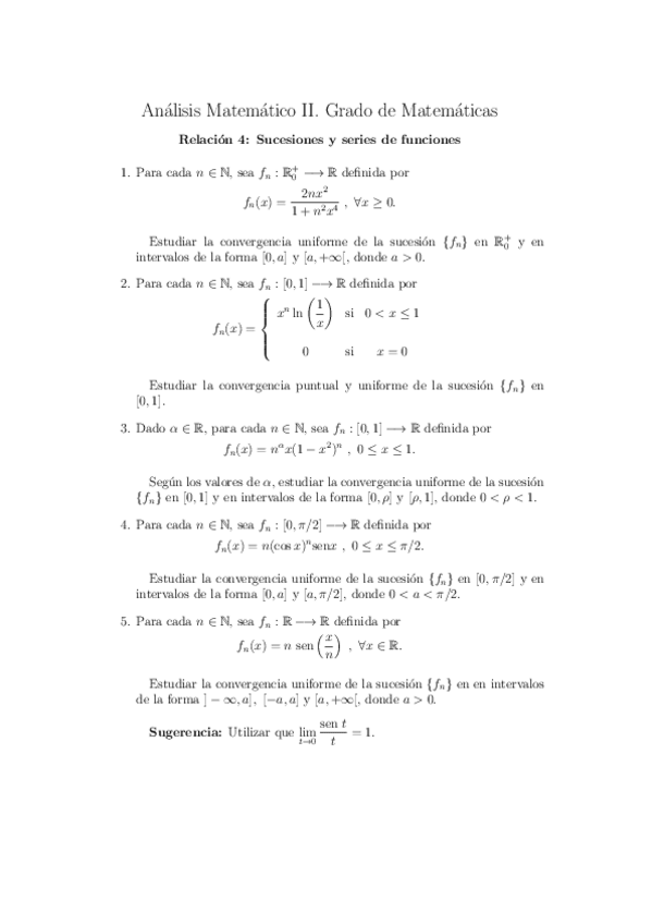
Ejercicios - sucesionesseriesfunciones.pdf
27 páginas
219
Exámenes - Prueba2Soluciones.pdf
204
Exámenes - Final 2021.pdf
257