Análisis Matemático III

chevron_left
chevron_right
Todo
Apuntes
Ejercicios
Exámenes
Prácticas
chevron_left
chevron_right

apuntes

-

Apuntes tablet

análisis 3 (de 4), nunca fueron buenas las secuelas

anal3.pdf
anal31.pdf
pracanal.pdf
anal32.pdf
pracan2.pdf
anal33.pdf

He publicado nuevos examenes de 3º Análisis Matemático III: Segunda-convocatoria-2023.pdf

7 páginas

He publicado nuevos ejercicios de 3º Análisis Matemático III: Practica-vectorial.pdf

25 páginas

Última práctica del primer bloque de Análisis III completa. Todo lo que necesitas saber sobre la práctica de Fourier está aquí

8 páginas

Práctica 2 de Análisis Matemático III redactado completamente en Latex. Faltan solo un par de ejercicios que se dejaron como deber. Todo lo demás está completamente detallado para facilitar la comprensión.

13 páginas

Práctica 1 de Análisis III, ejercicios completos y redactados en Latex. Todo lo que necesitas saber sobre convergencia y sobre espacios prehilbertianos está aquí.

9 páginas

Apuntes de las clases de Análisis Matemático III tomados directamente a Latex. Espero que os sirvan de ayuda y que saquéis mucha nota en el examen

72 páginas

ejercicios

-

Ejercicios cálculo integral múltiple

He publicado nuevos ejercicios de 3º Análisis Matemático III: Ejercicios cálculo integral múltiple

Ejercicios-T1--La-integral-de-linea.pdf
Ejercicios-T2-P1-La-integral-doble-TaFubini.pdf
Ejercicios-T2-P2-La-integral-doble-Ta-Green.pdf
Ejercicios-T2-P3-Integrales-triples.pdf
Tema-3--La-integral-de-superficie.pdf
Demostraciones-Tema-1.pdf

examenes

-

Exámenes resueltos

He publicado nuevos examenes de 3º Análisis Matemático III: Exámenes resueltos

Final-Julio-2024.pdf
Final-Junio-2024.pdf

apuntes

-

Apuntes cálculo integral multivariable

He publicado nuevos apuntes de 3º Análisis Matemático III: Apuntes cálculo integral multivariable

Tema-1-Integrales-de-linea.pdf
Tema-2-La-integral-doble.pdf
Apuntes-T3-La-integral-de-superficie.pdf

examenes

-

Exàmens d'altres anys resolts

He publicado nuevos examenes de 3º Análisis Matemático III: Exàmens d'altres anys resolts

3-juny-2024.pdf
8-setembre-2010.pdf
19-gener-2010.pdf
26-juny-2024.pdf

practicas

-

Pràctiques

He publicado nuevos practicas de 3º Análisis Matemático III: Pràctiques

1.pdf
2.pdf
3.pdf
4-GREEN.pdf
5.pdf
7-GAUSS.pdf

He publicado nuevos apuntes de 3º Análisis Matemático III: Tema-1.pdf

7 páginas

He publicado nuevos apuntes de 3º Análisis Matemático III: Tema-4.pdf

10 páginas

He publicado nuevos apuntes de 3º Análisis Matemático III: Tema-2.pdf

10 páginas

He publicado nuevos apuntes de 3º Análisis Matemático III: Tema-3.pdf

8 páginas

He publicado nuevos apuntes de 3º Análisis Matemático III: AN-III-Apunts-Vectorial.pdf

76 páginas

He publicado nuevos apuntes de 3º Análisis Matemático III: AM-III-preg-teoria-vect-2024.pdf

22 páginas

He publicado nuevos apuntes de 3º Análisis Matemático III: AM-III-vect.pdf

72 páginas

He publicado nuevos apuntes de 3º Análisis Matemático III: Apunts-Hilbert-Curs-202324.pdf

53 páginas

He publicado nuevos practicas de 3º Análisis Matemático III: Analisi-vectorial-practica-1.pdf

3 páginas

He publicado nuevos practicas de 3º Análisis Matemático III: Analisi-vectorial-practica-2.pdf

4 páginas

He publicado nuevos practicas de 3º Análisis Matemático III: Analisi-vectorial-practica-5.pdf

5 páginas

He publicado nuevos practicas de 3º Análisis Matemático III: Analisi-vectorial-practica-4.pdf

3 páginas

He publicado nuevos practicas de 3º Análisis Matemático III: Analisi-vectorial-practica-3.pdf

3 páginas

He publicado nuevos practicas de 3º Análisis Matemático III: Analisi-vectorial-practica-7.pdf

9 páginas

He publicado nuevos practicas de 3º Análisis Matemático III: Analisi-vectorial-practica-8.pdf

5 páginas

He publicado nuevos practicas de 3º Análisis Matemático III: Analisi-vectorial-practica-6.pdf

2 páginas

He publicado nuevos examenes de 3º Análisis Matemático III: Examenes-practica-analisis-vectorial-resueltos.pdf

9 páginas

He publicado nuevos apuntes de 3º Análisis Matemático III: Examens-Vectorial.pdf

8 páginas

apuntes

-

Pràctiques Anal3 vectorial

He publicado nuevos apuntes de 3º Análisis Matemático III: Pràctiques Anal3 vectorial

p7.pdf
p5.pdf
p1.pdf
p6.pdf
p4.pdf
p3.pdf

He publicado nuevos apuntes de 3º Análisis Matemático III: AM-III-Hilbert.pdf

56 páginas

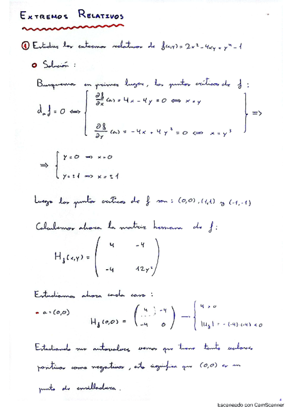
He publicado nuevos apuntes de 3º Análisis Matemático III: Analisis-Matematico-3-Extremos-Relativos.pdf

13 páginas

apuntes

-

Hilbert

He publicado nuevos apuntes de 3º Análisis Matemático III: Hilbert

Resum-Hilbert.pdf
Analisi-Examen-2023-Hilbert.pdf
Estudi-Practiques-H.pdf
Exercicis-examens.pdf

He publicado nuevos practicas de 3º Análisis Matemático III: Practicas-Analisi-Vectorial-resueltas.pdf

43 páginas

He publicado nuevos apuntes de 3º Análisis Matemático III: Teoria-Analisi-Vectorial.pdf

28 páginas

He publicado nuevos practicas de 3º Análisis Matemático III: Practiques-Hilbert-resueltas.pdf

19 páginas

He publicado nuevos apuntes de 3º Análisis Matemático III: Apuntes-Espais-de-Hilbert.pdf

16 páginas

He publicado nuevos apuntes de 3º Análisis Matemático III: ExamenAnalisis.pdf

4 páginas

He publicado nuevos apuntes de 3º Análisis Matemático III: Analisis-III-Espacios-de-Hilbert.pdf

23 páginas

He publicado nuevos apuntes de 3º Análisis Matemático III: Analisis-III-Analisis-Vectorial.pdf

65 páginas

He publicado nuevos apuntes de 3º Análisis Matemático III: practiques-vectorial-202021.pdf

24 páginas

He publicado nuevos apuntes de 3º Análisis Matemático III: PractiquesHilbert-202021-copia.pdf

7 páginas

He publicado nuevos apuntes de 3º Análisis Matemático III: peguntesHilbert.pdf

1 página

He publicado nuevos apuntes de 3º Análisis Matemático III: examens-altres-anys-solucions.pdf

12 páginas

He publicado nuevos apuntes de 3º Análisis Matemático III: problemes-hilbert-extra-solucions.pdf

7 páginas

He publicado nuevos apuntes de 3º Análisis Matemático III: Practica-8-solucio.pdf

12 páginas

He publicado nuevos apuntes de 3º Análisis Matemático III: Practica-7-solucio.pdf

5 páginas

He publicado nuevos apuntes de 3º Análisis Matemático III: Practica-6-solucio.pdf

9 páginas

He publicado nuevos apuntes de 3º Análisis Matemático III: Practica-5-solucio.pdf

5 páginas

apuntes

-

Pràctica 4 solució

He publicado nuevos apuntes de 3º Análisis Matemático III: Pràctica 4 solució

Practica-4-solucio.pdf

apuntes

-

Pràctica 2 solució

He publicado nuevos apuntes de 3º Análisis Matemático III: Pràctica 2 solució

Practica-2-solucio.pdf
Practica-2-solucio-2.pdf

apuntes

-

Pràctica 1 solució

He publicado nuevos apuntes de 3º Análisis Matemático III: Pràctica 1 solució

Practica-1-solucio.pdf
Practica-1-solucio-2.pdf

apuntes

-

Seminaris resolts

He publicado nuevos apuntes de 3º Análisis Matemático III: Seminaris resolts

Seminari-4-Calcul-Vectorial-solucio.pdf
Seminari-3-vectorial-solucio.pdf
Seminari-2-hilbert-solucio.pdf
Seminari-1-hilbert-solucio.pdf

He publicado nuevos apuntes de 3º Análisis Matemático III: TEMA-9-Superficies-amb-vora.pdf

11 páginas

He publicado nuevos apuntes de 3º Análisis Matemático III: TEMA-8-Orientacio-de-superficies.pdf

7 páginas

He publicado nuevos apuntes de 3º Análisis Matemático III: TEMA-7-Integral-de-superficie.pdf

12 páginas

He publicado nuevos apuntes de 3º Análisis Matemático III: TEMA-6-K-superficies-regulars.pdf

13 páginas

He publicado nuevos apuntes de 3º Análisis Matemático III: TEMA-5-Integral-de-linea-PARTE-2.pdf

11 páginas

He publicado nuevos apuntes de 3º Análisis Matemático III: TEMA-5-Integral-de-Linea-PARTE-1.pdf

24 páginas