chevron_left
chevron_right
Todo
Apuntes
Ejercicios
Exámenes
chevron_left
chevron_right

He publicado nuevos apuntes de 4º Análisis Real: Esquema-de-Teoria-para-Examen.pdf

12 páginas

He publicado nuevos apuntes de 4º Análisis Real: Todos-los-apuntes-ANRE.pdf

84 páginas

He publicado nuevos apuntes de 4º Análisis Real: Resumen-teoria-ANRE.pdf

10 páginas

apuntes

-

Apuntes ANRE por temas

Hay un pdf con todos los apuntes juntos en un pdf en la categoría general de la asignatura.

Tema-5.-Operadores-Integrales.pdf
Tema-0.-Introduccion-operadores.pdf
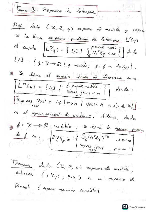
Tema-3.-Espacios-de-Lebesgue.pdf
Tema-8.-Teoria-espectral.pdf
Tema-6.-Transformada-de-Fourier.pdf
Tema-4.-Teorema-de-Diferenciacion-de-Lebesgue.pdf

He publicado nuevos examenes de 4º Análisis Real: Resumen-para-Examen-Analisis-Real (Carro).pdf

33 páginas

ejercicios

-

Problemas Resueltos Análisis Real (Carro)

He publicado nuevos ejercicios de 4º Análisis Real: Problemas Resueltos Análisis Real (Carro)

Hoja-1.pdf
Hoja-2.pdf
Hoja-3.pdf
Hoja-4.pdf
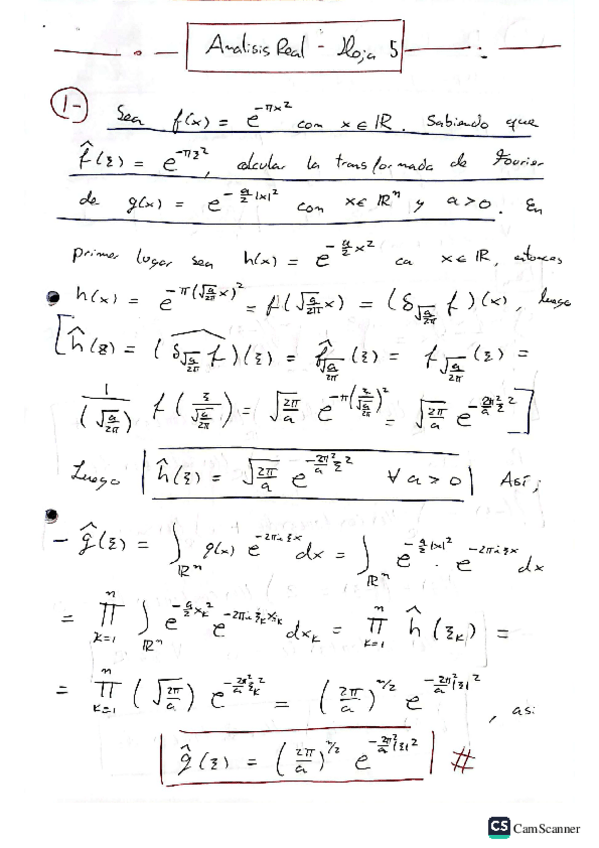
Hoja-5.pdf
Hoja-6.pdf

apuntes

-

Teoría Análisis Real (Carro)

He publicado nuevos apuntes de 4º Análisis Real: Teoría Análisis Real (Carro)

1-Preliminares-de-Analisis-Funcional.pdf
2-Repaso-de-Teoria-de-la-Medida.pdf
3-Espacios-Lp.pdf
4-Interpolacion-y-Tma.-de-Diferenciacion.pdf
5-Operadores-Integrales.pdf
6-Transformada-de-Fourier.pdf

apuntes

-

Analisis Real TEMARIO y EJS RES

He publicado nuevos apuntes de 4º Análisis Real: Analisis Real TEMARIO y EJS RES

Tema-2-Sucesiones.pdf
Tema-5-Calculo-Integral-Con-EJS-RESUELTOS.pdf
Tema-3-Funciones-Con-EJS-RESUELTOS.pdf
Tema-4-Calculo-Diferencial-Con-EJS-RESUELTOS.pdf
Tema-1-Nos-Reales.pdf
Tema-6-Series-Numericas-y-Geometricas.pdf
¡Estás al día!

¡Estás al día!

Has visto todos los archivos