Análisis Vectorial I

chevron_left
chevron_right
Todo
Apuntes
Ejercicios
Exámenes
Trabajos
chevron_left
chevron_right

He publicado nuevos trabajos de 2º Análisis Vectorial I: TrabajoAnalisis-1.pdf

16 páginas

He publicado nuevos trabajos de 2º Análisis Vectorial I: Trabajo-analisis.pdf

24 páginas

El trabajo de cónicas complementa muy bien a estos apuntes.

57 páginas

He publicado nuevos apuntes de 2º Análisis Vectorial I: Tema-2-Aplicacion-Diferencial-Parte-1.pdf

24 páginas

He publicado nuevos apuntes de 2º Análisis Vectorial I: Tema-2-Aplicacion-Diferencial-Parte-2.pdf

25 páginas

He publicado nuevos apuntes de 2º Análisis Vectorial I: Tema-1-Funciones-De-Varias-Variables.pdf

22 páginas

He publicado nuevos apuntes de 2º Análisis Vectorial I: Tema-4-Extremos.pdf

6 páginas

He publicado nuevos apuntes de 2º Análisis Vectorial I: AV.pdf

89 páginas

He publicado nuevos apuntes de 2º Análisis Vectorial I: Tema-3-Desarrollos-En-Series-De-Taylor-En-Funciones-De-N-Variables.pdf

10 páginas

ejercicios

-

Analisis Vectorial I. Ejercicios☑️​

He publicado nuevos ejercicios de 2º Análisis Vectorial I: Analisis Vectorial I. Ejercicios☑️​

Análisis vectorial I. Hoja 1 y 2.pdf
Análisis vectorial I. Práctica 1 2022-2023.pdf
Análisis vectorial I. Práctica 2 2022-2023.pdf
Análisis vectorial I. Práctica 3 2022-2023.pdf

He publicado nuevos apuntes de 2º Análisis Vectorial I: Apuntes.pdf

5 páginas

apuntes

-

Ejercicios

He publicado nuevos apuntes de 2º Análisis Vectorial I: Ejercicios

Ejercicios-Tema-2-Parte-2.pdf
Ejercicios-tema-3.pdf
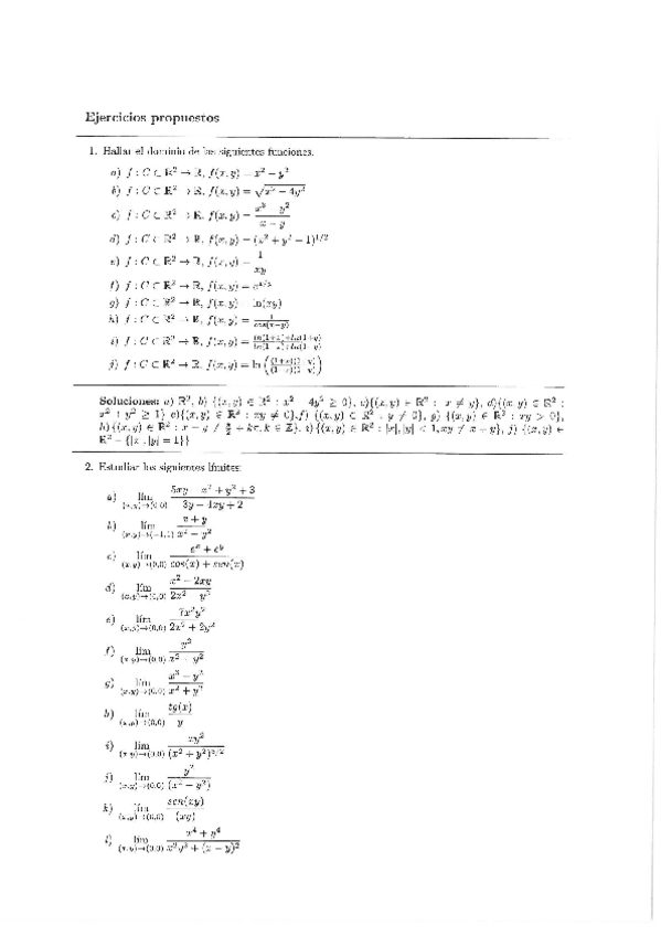
Ej-Propuestos.pdf
Ejercicios-Tema-4.pdf

apuntes

-

Apuntes

He publicado nuevos apuntes de 2º Análisis Vectorial I: Apuntes

Tema-2.pdf
Tema-2-Parte-2.pdf
Tema-3.pdf
Tema-4.pdf

apuntes

-

Analisis Vectorial I. Teoría✏️

He publicado nuevos apuntes de 2º Análisis Vectorial I: Analisis Vectorial I. Teoría✏️

Analisis-vectorial-I-teoria-resumen-temas1y2.pdf
Analisis-vectorial-I-teoria-resumen-temas3y4.pdf

apuntes

-

Analisis Vectorial I. Teoría✏️

He publicado nuevos apuntes de 2º Análisis Vectorial I: Analisis Vectorial I. Teoría✏️

Analisis-vectorial-I-teoria-resumen-temas1y2.pdf
Analisis-vectorial-I-teoria-resumen-temas3y4.pdf

apuntes

-

Analisis Vectorial I. Teoría✏️

He publicado nuevos apuntes de 2º Análisis Vectorial I: Analisis Vectorial I. Teoría✏️

Analisis-vectorial-I-teoria-resumen-temas1y2.pdf
Analisis-vectorial-I-teoria-resumen-temas3y4.pdf

ejercicios

-

Analisis Vectorial I. Ejercicios☑️

He publicado nuevos ejercicios de 2º Análisis Vectorial I: Analisis Vectorial I. Ejercicios☑️

Analisis-vectorial-I-ejercicios-temas1y2.pdf

apuntes

-

Analisis Vectorial I. Teoría✏️

He publicado nuevos apuntes de 2º Análisis Vectorial I: Analisis Vectorial I. Teoría✏️

Analisis-vectorial-I-teoria-resumen-temas1y2.pdf
Analisis-vectorial-I-teoria-resumen-temas3y4.pdf

apuntes

-

Análisis Vectorial I. Teoría✏️

He publicado nuevos apuntes de 2º Análisis Vectorial I: Análisis Vectorial I. Teoría✏️

Análisis vectorial I. Temas 1 y 2 resumen.pdf
Análisis vectorial I. Temas 3 y 4 resumen.pdf

ejercicios

-

Ejercicios por temas

He publicado nuevos ejercicios de 2º Análisis Vectorial I: Ejercicios por temas

ejercicios-tema-1.pdf
ejercicios-tema-2-parte-1.pdf
ejercicios-propuestos-tema-1-y-2.pdf
ejercicios-tema-2-parte-2.pdf
ejercicios-tema-1.pdf

apuntes

-

Apuntes

He publicado nuevos apuntes de 2º Análisis Vectorial I: Apuntes

Tema-1-funciones-de-varias-variables.pdf
tema-2-parte-1-derivadas-y-diferenciabilidad.pdf
tema-2-parte-2-derivacion-implicita-e-inversa.pdf
Tema-1-funciones-de-varias-variables.pdf

examenes

-

Examenes

He publicado nuevos examenes de 2º Análisis Vectorial I: Examenes

ejemplo-examen-parcial-tema-1-y-2.pdf
parcial-1-2021.pdf
ejemplo-parcial-1-2019-mi-solucion.pdf
¡Estás al día!

¡Estás al día!

Has visto todos los archivos