chevron_left
chevron_right
Todo
Exámenes
Prácticas
chevron_left
chevron_right

He publicado nuevos examenes de 2º Análisis y Diseño de Circuitos: Extraordinario 2023-24.pdf

4 páginas

He publicado nuevos examenes de 2º Análisis y Diseño de Circuitos: Final 2024-25 con soluciones.pdf

8 páginas

He publicado nuevos examenes de 2º Análisis y Diseño de Circuitos: Final 2023-24.pdf

4 páginas

He publicado nuevos practicas de 2º Análisis y Diseño de Circuitos: PRELAB1.pdf

2 páginas

He publicado nuevos practicas de 2º Análisis y Diseño de Circuitos: PRELAB2.pdf

4 páginas
Anónimo

@Anónimo

examenes

-

EXAMENES FINALES

He publicado nuevos examenes de 2º Análisis y Diseño de Circuitos: EXAMENES FINALES

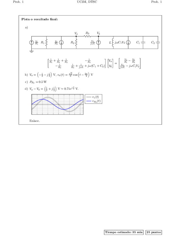
examen2022mayohints.pdf
examen2022juniohints.pdf
examen2023mayohints.pdf

He publicado nuevos examenes de 2º Análisis y Diseño de Circuitos: examen2022mayohintsen.pdf

7 páginas
¡Estás al día!

¡Estás al día!

Has visto todos los archivos