HolaMundo1

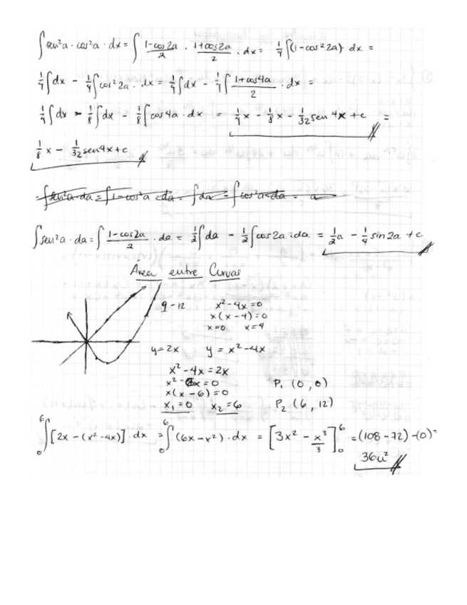
Area Entre Curvas- Tema8.pdf

Miniatura del documento Area Entre Curvas- Tema8.pdf

Portada

Miniatura del documento Area Entre Curvas- Tema8.pdf

Fecha de subida

26 jul 2016

Categoría

apuntes

Información

37

Etiquetas

category

apuntes

content_copy

Archivos recomendados