Tabla Transformadas de Laplace.pdf

zas

Apuntes Teoria EDOs

26 archivos·

Aqui encontraras los apuntes que me sirvieron a mi para aprobar la asignatura. Espero te sea de gran ayuda.

Teoría Análisis Señales y sistemas en dominio temporal bis.pdf

34 páginas

Teoría Análisis Fourier en tiempo continuo.pdf

26 páginas

Teoría EDPs.pdf

4 páginas

Teoría Análisis de Fourier en tiempo continuo bis.pdf

29 páginas

Teoría Análisis Señales y sistemas en dominio temporal.pdf

34 páginas

Teoría aplicación método separación variables.pdf

1 página

Tabla Transformadas de Laplace.pdf

1 página

Teoría EDO primer orden.pdf

3 páginas

Teoría EDO orden n.pdf

5 páginas

Teoría funciones complejas variable compleja bis.pdf

18 páginas

Teoría Muestreo señales y análisis Fourier en tiempo discreto.pdf

29 páginas

Teoría Números complejos bis.pdf

4 páginas

Teoría Residuos.pdf

2 páginas

Teoría funciones complejas variable compleja.pdf

8 páginas

Teoría Números complejos.pdf

6 páginas

Teoría Muestreo señales y análisis Fourier en dominio discreto bis.pdf

27 páginas

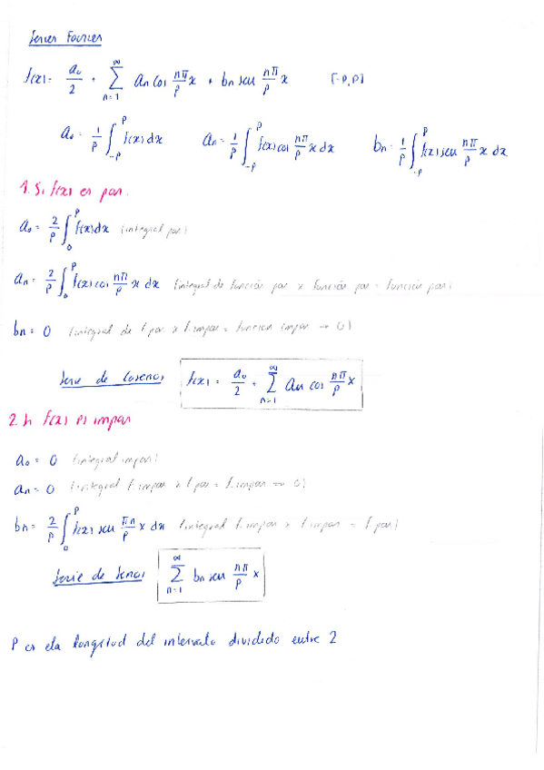
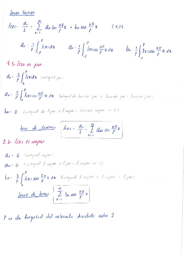
Teoría Serie Fourier.pdf

2 páginas

Teoría Serie de Fourier.pdf

2 páginas

Teoría integración compleja.pdf

2 páginas

Teoría funciones elementales.pdf

4 páginas

Teoría Series de Fourier.pdf

1 página

Teoría Transformada Laplace.pdf

4 páginas

Teoría Transformada Z.pdf

6 páginas

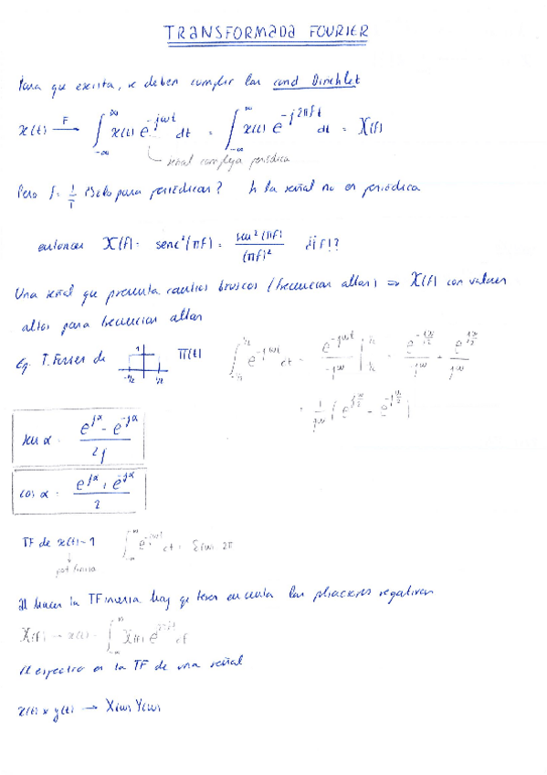
Teoría Transformada de Fourier.pdf

2 páginas

Teoría Transformada Z bis.pdf

10 páginas

Teoría Series complejas.pdf

6 páginas

content_copy

Archivos recomendados