chevron_left
chevron_right
Todo
Apuntes
Prácticas
chevron_left
chevron_right

He publicado nuevos practicas de 2º Arquitectura de Computadores: Practice-7.pdf

10 páginas

Hay pequeños errores ya que el behavioural simulation creo que debe ser un pelín más diferente pero generalmente está bien.

12 páginas

He publicado nuevos practicas de 2º Arquitectura de Computadores: Practice-6.pdf

7 páginas

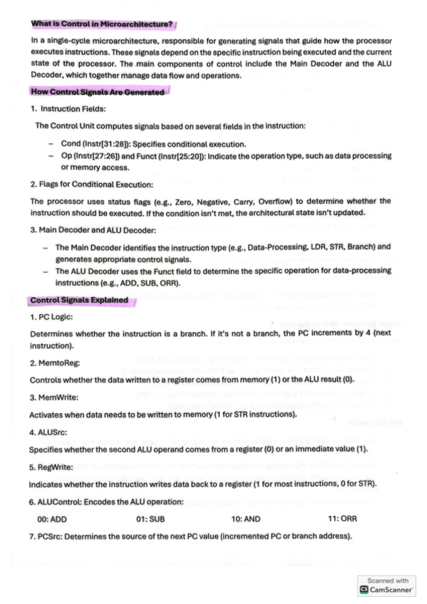
He publicado nuevos apuntes de 2º Arquitectura de Computadores: Control-Unit-in-Micro-Architecture.pdf

2 páginas

He publicado nuevos apuntes de 2º Arquitectura de Computadores: Instructions-sets-and-assembly.pdf

8 páginas

He publicado nuevos practicas de 2º Arquitectura de Computadores: Practice 5.pdf

7 páginas

He publicado nuevos practicas de 2º Arquitectura de Computadores: Practice 4.pdf

8 páginas

He publicado nuevos practicas de 2º Arquitectura de Computadores: practica-3.pdf

7 páginas

He publicado nuevos practicas de 2º Arquitectura de Computadores: Practice-2.pdf

10 páginas

He publicado nuevos practicas de 2º Arquitectura de Computadores: Practice-1.pdf

6 páginas
¡Estás al día!

¡Estás al día!

Has visto todos los archivos