
Grado en Ingeniería del Software (ULOYOLA)
Sevilla
Sube tus apuntes
arrow_forwardAsignaturas de Grado en Ingeniería del Software (ULOYOLA)
Asignatura
arrow_downward2º
•
14 posts
1º
•
14 posts
3º
•
4 posts
2º
•
10 posts
2º
•
10 posts
3º
•
0 posts
3º
•
1 posts
1º
•
12 posts
1º
•
0 posts
3º
•
5 posts
4º
•
0 posts
3º
•
19 posts
2º
•
0 posts
3º
•
1 posts
2º
•
5 posts
1º
•
7 posts
3º
•
1 posts
1º
•
14 posts
1º
•
5 posts
2º
•
2 posts
3º
•
0 posts
4º
•
0 posts
1º
•
9 posts
1º
•
2 posts
2º
•
3 posts
2º
•
9 posts
3º
•
0 posts
1º
•
4 posts
2º
•
4 posts
2º
•
6 posts
3º
•
0 posts
4º
•
0 posts
Últimas publicaciones de Grado en Ingeniería del Software (ULOYOLA)
Resumen de las lecturas y una reflexión en relación con la teoría de la asignatura. Están todas las lecturas menos la de Floridi
examenes
-
Exámenes resueltos (No oficiales)
Son exámenes hechos por gemini pero siguiendo la estructura de los exámenes del profesor y con todo el contenido.
He publicado nuevos apuntes de 1º Electrónica y Electromagnetismo: Teoria-electronica.pdf
He publicado nuevos apuntes de 3º Ética Profesional y Tecnología: Tema-3-Argumentacion-etica-y-politica.pdf
He publicado nuevos apuntes de 2º Modelado y Diseño de Sistemas Software: Tema-3-Patrones-de-Diseno-Teoria.pdf
He publicado nuevos apuntes de 2º Sistemas Operativos: Chapter-02-Processes.pdf
He publicado nuevos apuntes de 3º Ingeniería de Datos Ii: Unit-1-Ensambled-Method.docx
Explicación del codigo sobre unittest, unit testing, mocks, spys y stub
Dos ejercicios del test de moodle resueltos con explicaciones
Ejercicios del boletín de problemas básicos del tema 2 'Corriente Eléctrica' resueltos con explicaciones.
He publicado nuevos apuntes de 2º Sistemas Operativos: Chapter 01 - Operative System Overview.pdf
He publicado nuevos apuntes de 3º Ética Profesional y Tecnología: Tema 2 Ética y computer engineering.pdf
He publicado nuevos apuntes de 3º Ética Profesional y Tecnología: Tema-1-Etica-Profesional.pdf
He publicado nuevos apuntes de 1º Electrónica y Electromagnetismo: Electroestatica-T2-Corriente-Electrica.pdf
He publicado nuevos apuntes de 1º Electrónica y Electromagnetismo: Electroestatica-T1-Campo-Electrico.pdf
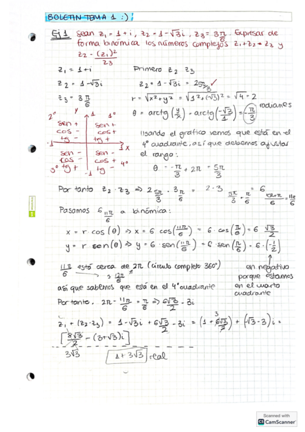
Boletín de problemas los problemas básicos del Tema 1 resueltos con algunas explicaciones e indicaciones. En principio están bien todos los ejercicios.
He publicado nuevos ejercicios de 1º Electrónica y Electromagnetismo: Test-2-Electrostatica-Moodle-Resuelto-Co.pdf
He publicado nuevos examenes de 2º Sistemas Operativos: Quiz2LenguajeC.pdf
He publicado nuevos examenes de 1º Algoritmos y Estructuras de Datos: Examen-Final-OFICIAL-2023-24.pdf
He publicado nuevos examenes de 1º Algoritmos y Estructuras de Datos: Solucion-Oficial-2324-RESUELTO.pdf
He publicado nuevos examenes de 1º Algoritmos y Estructuras de Datos: Examen-Extraoficial-Escrito.pdf
He publicado nuevos examenes de 1º Algoritmos y Estructuras de Datos: Examen-Extraordinaria-202425.pdf
Apuntes sobre lo que dice el profesor durante las clases de los temas 1, 2, 3, 4, 5 y 6. Información adicional a los apuntes que da el profesor y de los cuales suele caer alguna pregunta de examen
He publicado nuevos apuntes de 2º Administración de Sistemas de Información: TEMA-7-GESTION-DE-COMUNICACIONES.pdf
He publicado nuevos apuntes de 2º Administración de Sistemas de Información: TEMA-6-RECURSOS.pdf
He publicado nuevos apuntes de 3º Ampliación de Bases de Datos: Resumen-Tema-5.pdf
He publicado nuevos apuntes de 3º Ampliación de Bases de Datos: Resumen-Tema-4.pdf
He publicado nuevos apuntes de 3º Ampliación de Bases de Datos: Resumen-Tema-3.pdf
Primer parcial resuelto como algunas explicaciones. No todos los cálculos están perfectos pero los procedimientos están bien.
He publicado nuevos apuntes de 2º Administración de Sistemas de Información: TEMA-5-USUARIOS-Y-GRUPOS.pdf
He publicado nuevos apuntes de 2º Administración de Sistemas de Información: TEMA-4-BASH.pdf
He publicado nuevos apuntes de 2º Administración de Sistemas de Información: TEMA-3-GNU/LINUX-MGA.pdf.pdf
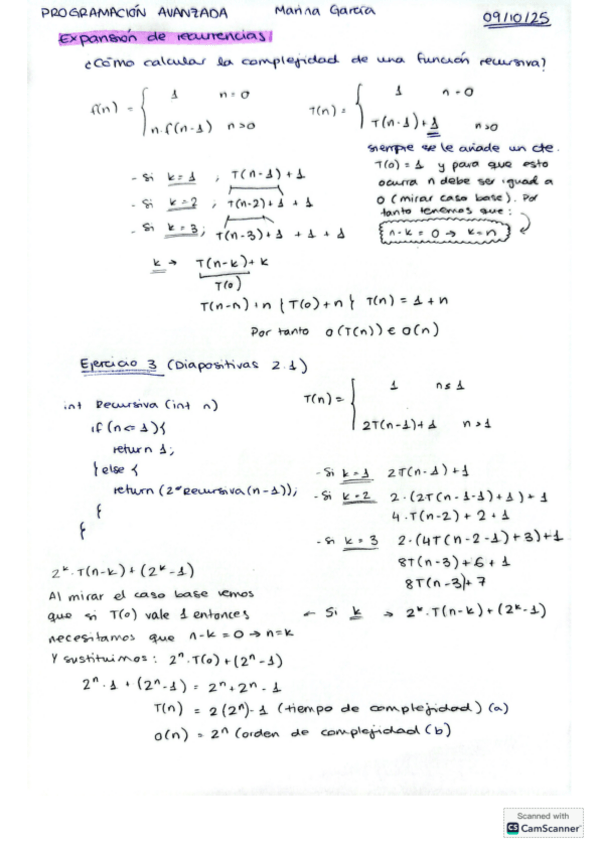
He publicado nuevos ejercicios de 2º Programación III: Explicacion-calculo-complejidad-en-f.recursiva.pdf
Este es el ejercicio 2 de las diapositivas del tema 2.1 resuelto.
El proyecto final se compone del conjunto de las prácticas. Cada proyecto es único ya que se eligen temas diferentes.
He publicado nuevos test de 2º Administración de Sistemas de Información: Preguntas-de-clase-QUIZ-T2.pdf
Guía paso a paso de como instalar y configurar Git/Github. También incluye los pasos para más o menos saber como invitar a una persona a colaborar en un repositorio.
Parcial de electrónica resuelto completamente y correctamente con explicaciones.
He publicado nuevos examenes de 2º Bases de Datos: SQL-EXAMEN-ORDINARIA-2023-2024.pdf
He publicado nuevos examenes de 2º Bases de Datos: Ordinaria-SQL-23-24.pdf
He publicado nuevos ejercicios de 2º Bases de Datos: actividad-2-tema-4.pdf
He publicado nuevos apuntes de 2º Software de Comunicaciones: Resumen-Tema1-sistemas-distribuidos.pdf
He publicado nuevos apuntes de 2º Software de Comunicaciones: Resumen-tema-6-Seguridad-en-la-red.pdf
He publicado nuevos apuntes de 2º Software de Comunicaciones: Resumen-tema-5-Capa-de-enlace.pdf
He publicado nuevos apuntes de 2º Software de Comunicaciones: Resumen-tema-3-Capa-de-transporte.pdf
He publicado nuevos apuntes de 2º Software de Comunicaciones: Resumen-tema-4-capa-de-red.pdf
He publicado nuevos apuntes de 2º Software de Comunicaciones: Resumen-tema-2-capa-de-aplicacion.pdf
He publicado nuevos apuntes de 3º Humanismo y ética Básica: Resumen-y-preguntas-tipo-test-tema-8.pdf
He publicado nuevos apuntes de 3º Humanismo y ética Básica: Resumen-y-preguntas-tipo-test-tema-6.pdf
He publicado nuevos apuntes de 3º Humanismo y ética Básica: Resumen-y-preguntas-tipo-test-tema-7.pdf
He publicado nuevos apuntes de 3º Humanismo y ética Básica: Resumen-y-preguntas-tipo-test-tema-4.pdf
He publicado nuevos apuntes de 3º Humanismo y ética Básica: Resumen-y-preguntas-tipo-test-team5.pdf
He publicado nuevos apuntes de 3º Humanismo y ética Básica: Adela-Cortina.pdf