user_generic
Examenes
Examen-1a-16-17.pdf
14 páginas
Examen-1a-17-18.pdf
10 páginas
Examen-2a-17-18.pdf
13 páginas
Examen-1a-18-19.pdf
5 páginas
Examen-2a-18-19.pdf
Examen-1a-20-21.pdf
Examen-2a-20-21.pdf
11 páginas
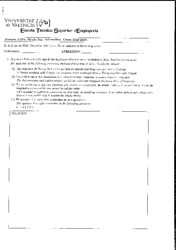
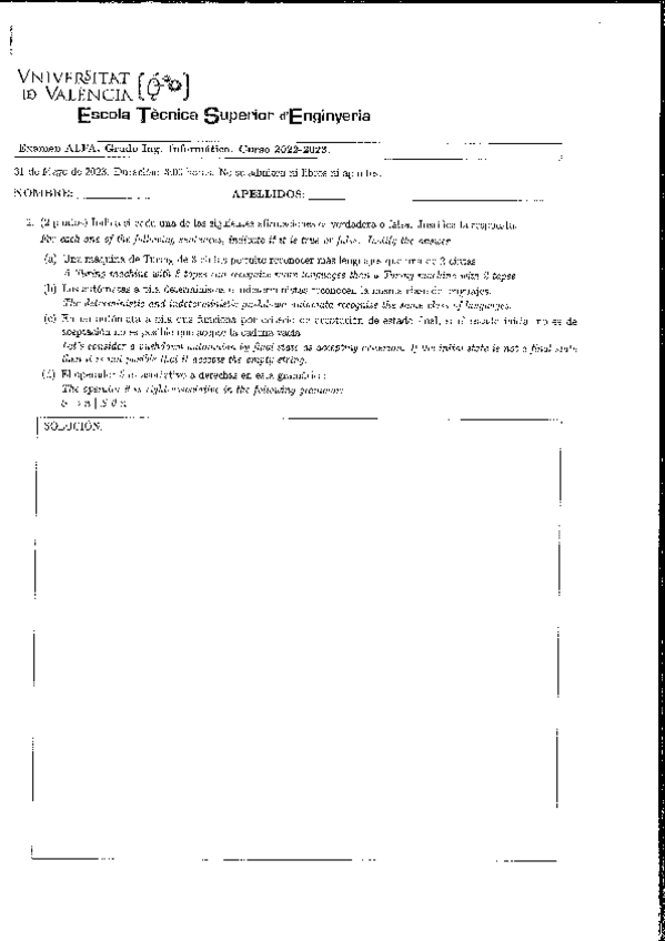
Examen-1a-22-23.pdf
Apuntes - megaresumenalfa.pdf
pdf
30 páginas
148
0
Exámenes - Parcial-18-19.pdf
3 páginas
18
Exámenes - Examen1raConv-SOLUCION.pdf
34
3
Exámenes - Parcial-17-18.pdf
6 páginas
14
Exámenes - Examen-1a-22-23.pdf
Exámenes - Parcial-22-23.pdf
19
Exámenes - Parcial-19-20.pdf
4 páginas
Exámenes - Examen-1a-18-19.pdf
15
Exámenes - Control1-2023-24.pdf.pdf
Apuntes - ALFA-T1.pdf
8 páginas
11
Exámenes - Examen-1a-20-21.pdf
16
Exámenes - Examen-1a-16-17.pdf
12
Exámenes - Examen-2a-20-21.pdf
Exámenes - Examen-2a-17-18.pdf
10
Exámenes - Examen-1a-17-18.pdf
9
Apuntes - ALFA-T2.pdf
Exámenes - Examen-2a-18-19.pdf
Apuntes - ALFA-T9-11.pdf
4
Apuntes - ALFA-T3.pdf
8
Apuntes - ALFA-T6.pdf
5