Portada
Asignatura
Grado en Ingeniería Naval y Oceánica (UDC)
Automatismos. control y electrónica
Fecha de subida
05 ago 2025
Categoría
apuntes
Etiquetas
Apuntes - operacionales-teoria.pdf
pdf
11 páginas
1
0
Ejercicios - 501-BJT-polarizacion.pdf
1 página
7
Trabajos - TrabajoTutelado.pdf
4 páginas
8
Ejercicios - 304s-Diodos-Solucion.pdf
2
Ejercicios - 303-Diodos.pdf
Ejercicios - 305-Diodos.pdf
Ejercicios - 401-AO.pdf
3
Ejercicios - Ejercicios-resueltos-segundo-parcial.pdf
12 páginas
Ejercicios - 0.pdf
2 páginas
Ejercicios - 14-15-resuelto.pdf
5 páginas
Ejercicios - 3Diodossoluciones.pdf
Exámenes - teoria-control.pdf
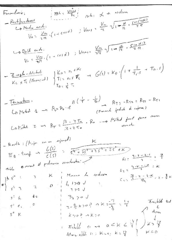
Apuntes - Teoria--Formulario-SEGUNDO-PARCIAL.pdf
Ejercicios - Algunos-ejercicios-Boyestad.pdf
Apuntes - Automatismos-apuntes-clase-24-25.pdf
26 páginas
Ejercicios - 402s-AO-solucion.pdf
Ejercicios - 13-14-resuelto.pdf