Portada
Asignatura
Grado en Ingeniería Eléctrica (UNED)
Automatización Industrial I
Fecha de subida
13 ene 2023
Categoría
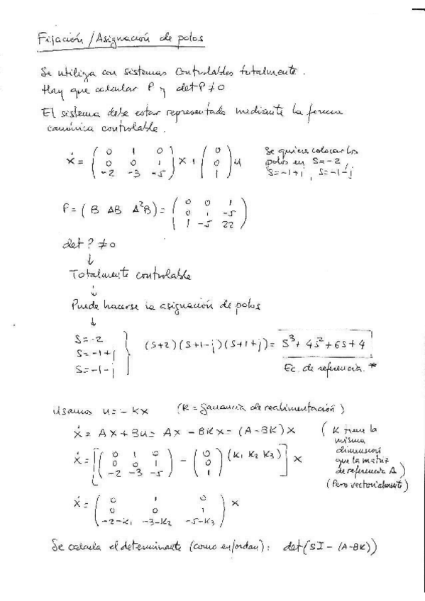
apuntes
Etiquetas
Exámenes - AUTOMATIZACION-INDUSTRIAL-Isept2020examenresuelto.pdf
pdf
12 páginas
16
0
PEC - AIPEC2desarrollo1920respuesta.pdf
7 páginas
12
PEC - 32367187-AI1-PEC2-desarrollosol.pdf
3 páginas
10
PEC - TESTPEC12020.pdf
29 páginas
PEC - AIPEC1desarrollo1920respuesta.pdf
9
Apuntes - webconferenciaclase2.pdf
6 páginas
PEC - AIPEC1desarrollo1920.pdf
1 página
8
Apuntes - clase3-automatica1.pdf
1
PEC - AIPEC2desarrollo1920.pdf
7
Apuntes - webconferenciaclase1.pdf
13 páginas
Apuntes - clase4-anexo-automatica1.pdf
5 páginas
5
Apuntes - clase9b-elec-automatica1.pdf
Apuntes - clase9a-elect-automatica1.pdf
Apuntes - clase8automatica1.pdf
10 páginas
Apuntes - clase7automatica1.pdf
Apuntes - clase6automatica1.pdf
Apuntes - clase5automatica1.pdf
Apuntes - clase4-automatica1.pdf
11 páginas