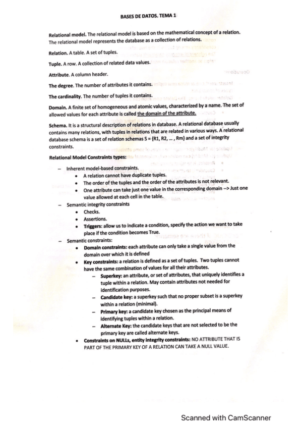
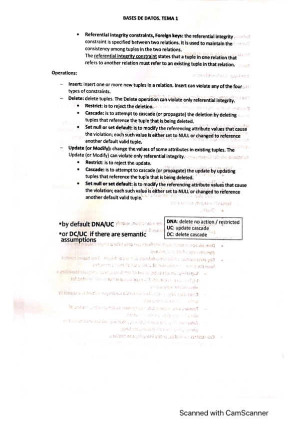
Todo
Apuntes
Ejercicios
Exámenes
Prácticas
Trabajos
chevron_left
chevron_right
Anónimo

@Anónimo

trabajos

-

Project 1 Part 2 (Tables, Queries, Triggers...)

He publicado nuevos trabajos de 2º Bases de Datos: Project 1 Part 2 (Tables, Queries, Triggers...)

Deletion-Of-Tables.pdf
Deletion-Of-Tables.pdf
Queries-and-Triggers.pdf
Queries-and-Triggers.pdf
Creation-of-Tables.pdf
Creation-of-Tables.pdf
Anónimo

@Anónimo

He publicado nuevos trabajos de 2º Bases de Datos: DBProject-3-Neo4j-statement-and-project-solved-How-to-open-Neo4j.pdf

25 páginas
Anónimo

@Anónimo

He publicado nuevos trabajos de 2º Bases de Datos: DBProject1-RelationalDesign (statement & project solved).pdf

9 páginas
Anónimo

@Anónimo

apuntes

-

Apuntes todos los temas

He publicado nuevos apuntes de 2º Bases de Datos: Apuntes todos los temas

2.1-RELATIONAL-MODEL.pdf
2.1-RELATIONAL-MODEL.pdf
2.2-SQL-LANGUAGE.pdf
2.2-SQL-LANGUAGE.pdf
2.3-INTRODUCTION-DATABASE-MANAGEMENT-SYSTEMS.pdf
2.3-INTRODUCTION-DATABASE-MANAGEMENT-SYSTEMS.pdf

He publicado nuevos apuntes de 2º Bases de Datos: Project3.pdf

16 páginas

He publicado nuevos apuntes de 2º Bases de Datos: FULL-Notes-Data-Bases.pdf

38 páginas

He publicado nuevos ejercicios de 2º Bases de Datos: lecture-21-exercise-1-solution-2.pdf

4 páginas

He publicado nuevos apuntes de 2º Bases de Datos: Apuntes-para-el-final.pdf

8 páginas

He publicado nuevos practicas de 2º Bases de Datos: LabDemo-SQL-trigger-3-2023-2024sol-1.pdf

5 páginas

He publicado nuevos practicas de 2º Bases de Datos: LabDemo-SQL-trigger-3-2023-2024-1.pdf

3 páginas

He publicado nuevos practicas de 2º Bases de Datos: LabDemo-2-complex-queries202324-1.pdf

3 páginas

He publicado nuevos practicas de 2º Bases de Datos: LabDemo-2-complex-queries202223Sol-1.pdf

4 páginas

He publicado nuevos ejercicios de 2º Bases de Datos: Exercises-Topic-22-Query-SQL-2023-2024sol-1.pdf

4 páginas

He publicado nuevos ejercicios de 2º Bases de Datos: Exercises-Topic-22-Query-SQL-2023-2024-1.pdf

3 páginas

He publicado nuevos ejercicios de 2º Bases de Datos: Exercises-Topic-21-Relational-Model20232024-solutions-2.pdf

21 páginas

He publicado nuevos ejercicios de 2º Bases de Datos: Exercises-Topic-21-Relational-Model20232024-1.pdf

11 páginas

He publicado nuevos apuntes de 2º Bases de Datos: Bases-de-Datos-MONGODB.pdf

2 páginas

He publicado nuevos apuntes de 2º Bases de Datos: Bases-de-Datos-Apuntes-Neoj.pdf

5 páginas

He publicado nuevos apuntes de 2º Bases de Datos: Bases-de-Datos-TEORIA.pdf

4 páginas

He publicado nuevos apuntes de 2º Bases de Datos: TeoriaU1-4.pdf

2 páginas

He publicado nuevos apuntes de 2º Bases de Datos: SQLLanguage-3.pdf

7 páginas
Anónimo

@Anónimo

apuntes

-

Theory

He publicado nuevos apuntes de 2º Bases de Datos: Theory

1.-Introduction.pdf
1.-Introduction.pdf
2.1.-Design-of-a-database.-Relational-model.pdf
2.1.-Design-of-a-database.-Relational-model.pdf
2.2.-Query-language.-SQL-language.pdf
2.2.-Query-language.-SQL-language.pdf

SQL, MONGODB, NEO4j

13 páginas

apuntes

-

SQL, MongoDB and Neo4J summaries

He publicado nuevos apuntes de 2º Bases de Datos: SQL, MongoDB and Neo4J summaries

Mongo-DB.pdf
Mongo-DB.pdf
SQL.pdf
SQL.pdf
Neo4J.pdf
Neo4J.pdf

examenes

-

Solved exams

He publicado nuevos examenes de 2º Bases de Datos: Solved exams

Kahoot-solutions.pdf
Kahoot-solutions.pdf
Midterm-solution.pdf
Midterm-solution.pdf

apuntes

-

Class notes + solved exercises

He publicado nuevos apuntes de 2º Bases de Datos: Class notes + solved exercises

Exercises-2.pdf
Exercises-2.pdf
Relational-model-and-SQL-exercises.pdf
Relational-model-and-SQL-exercises.pdf
bases.pdf
bases.pdf

examenes

-

Examenes 2020

He publicado nuevos examenes de 2º Bases de Datos: Examenes 2020

cuestionesKahootongoing.pdf
cuestionesKahootongoing.pdf
cuestionesKahootongoingsol.pdf
cuestionesKahootongoingsol.pdf
PARCIALexamSOL.pdf
PARCIALexamSOL.pdf

He publicado nuevos apuntes de 2º Bases de Datos: CamScanner-01-19-2021-16.pdf

11 páginas

apuntes

-

Proyecto 1.2 SQL winery

He publicado nuevos apuntes de 2º Bases de Datos: Proyecto 1.2 SQL winery

QueriesTrigger5.txt
QueriesTrigger5.txt
Alter4.txt
Alter4.txt
Deletion2.txt
Deletion2.txt

He publicado nuevos apuntes de 2º Bases de Datos: Bases-de-datos.docx

word

examenes

-

Examenes

He publicado nuevos examenes de 2º Bases de Datos: Examenes

Midle-exam2-2020sol.pdf
Midle-exam2-2020sol.pdf
Midle-exam1-2020sol.pdf
Midle-exam1-2020sol.pdf