Todo
Apuntes
Ejercicios
Exámenes
Prácticas
Test
chevron_left
chevron_right

He publicado nuevos apuntes de 1º Bioestadística: apuntes-inferencia.pdf

5 páginas

He publicado nuevos examenes de 1º Bioestadística: PREGUNTAS-BIOESTADISTICA-POR-TEMAS.pdf

22 páginas

Apuntes Tema 5 Bioestadistica

6 páginas

Tema 4

3 páginas

Tema 3 Probabilidad

7 páginas
Anónimo

@Anónimo

Bloque 1 y 2 del primer parcial de bioestadística.

7 páginas

apuntes

-

Probabilidad simple

Apuntes de nuestro curso de repaso

Probabilidad-simple.pdf
Miniatura no disponible
https://youtu.be/mmr0SoQfb3A

Temas Control 1 unidos

29 páginas

He publicado nuevos apuntes de 1º Bioestadística: Tema-2-Estadistica-descriptiva-de-2-variables.pdf

12 páginas

apuntes

-

Bioestadistica

He publicado nuevos apuntes de 1º Bioestadística: Bioestadistica

T1-BIOESTADISTICA.pdf
T2-BIOESTADISTICA.pdf

He publicado nuevos apuntes de 1º Bioestadística: Tema-1-Estadistica-Descriptiva.pdf

17 páginas

apuntes

-

APUNTES DE CLASE BIOESTADÍSTICA

He publicado nuevos apuntes de 1º Bioestadística: APUNTES DE CLASE BIOESTADÍSTICA

Tema-2-BIOESTADISTICA.pdf
Tema-3-Bioestadistica.pdf
TEMA-5-BIOESTADISTICA.pdf
Tema-6240522115628.pdf

He publicado nuevos apuntes de 1º Bioestadística: Evaluacion-continua-2.pdf

6 páginas

He publicado nuevos apuntes de 1º Bioestadística: TEMA-4-Bioestadistica.pdf

5 páginas

He publicado nuevos apuntes de 1º Bioestadística: Evaluacion-continua-1..pdf

8 páginas

He publicado nuevos apuntes de 1º Bioestadística: Apuntes-Clase-Tema-3-Probabilidad..pdf

7 páginas

He publicado nuevos apuntes de 1º Bioestadística: Apuntes-2o-Practica..pdf

4 páginas

He publicado nuevos practicas de 1º Bioestadística: TEMARIO-PRACTICAS-BIOESTADISTICA.pdf

6 páginas

He publicado nuevos apuntes de 1º Bioestadística: Temario-Bioestadistica.pdf

34 páginas

He publicado nuevos apuntes de 1º Bioestadística: CONCEPTOS-PRIMER-EXAMEN-BIOESTADISTICA.pdf

3 páginas

apuntes

-

unidad 5

He publicado nuevos apuntes de 1º Bioestadística: unidad 5

parte-1230423184041.pdf

apuntes

-

unidad 4

He publicado nuevos apuntes de 1º Bioestadística: unidad 4

U4.pdf

apuntes

-

unidad 3

He publicado nuevos apuntes de 1º Bioestadística: unidad 3

parte-3-230402131025.pdf
parte-2230402131056.pdf
parte-1230402130951.pdf
parte-4.pdf

apuntes

-

practicas

He publicado nuevos apuntes de 1º Bioestadística: practicas

practica-1230304143544.pdf
2-practica230319135342.pdf
practica-3.pdf

apuntes

-

unidad 2

He publicado nuevos apuntes de 1º Bioestadística: unidad 2

U2-ESTADISTICA-BIVARIANTEparte-1-y-2230304204825.pdf

apuntes

-

unidad 1

He publicado nuevos apuntes de 1º Bioestadística: unidad 1

unidad-1230304142944.pdf
relacion-ejercicios-1230220120420.pdf

He publicado nuevos apuntes de 1º Bioestadística: Practicas-bioestadistica.pdf

13 páginas

apuntes

-

Apuntes prácticas

He publicado nuevos apuntes de 1º Bioestadística: Apuntes prácticas

Apuntes-practicas-bioestadistica.pdf
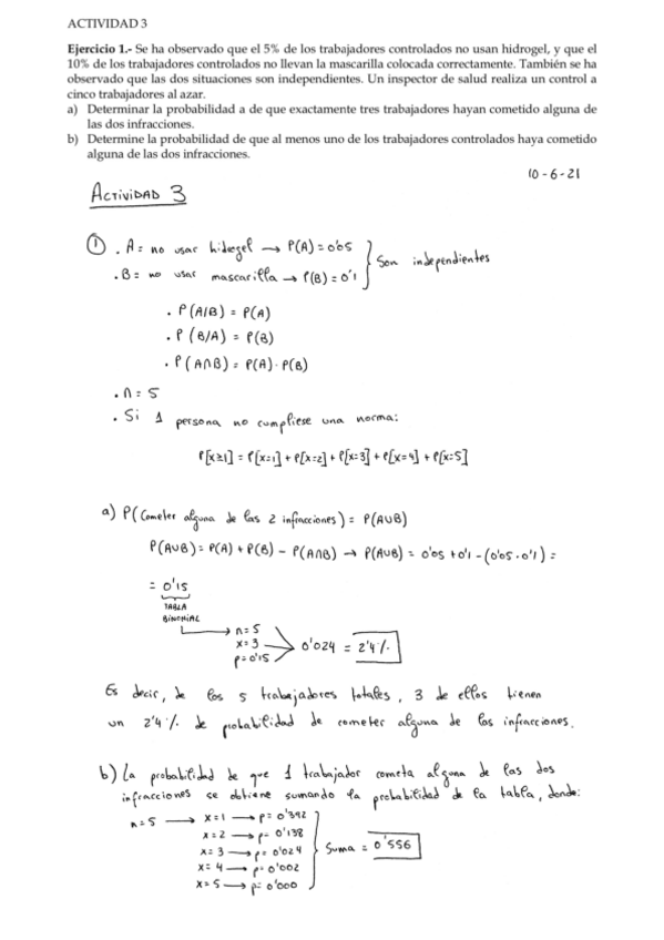
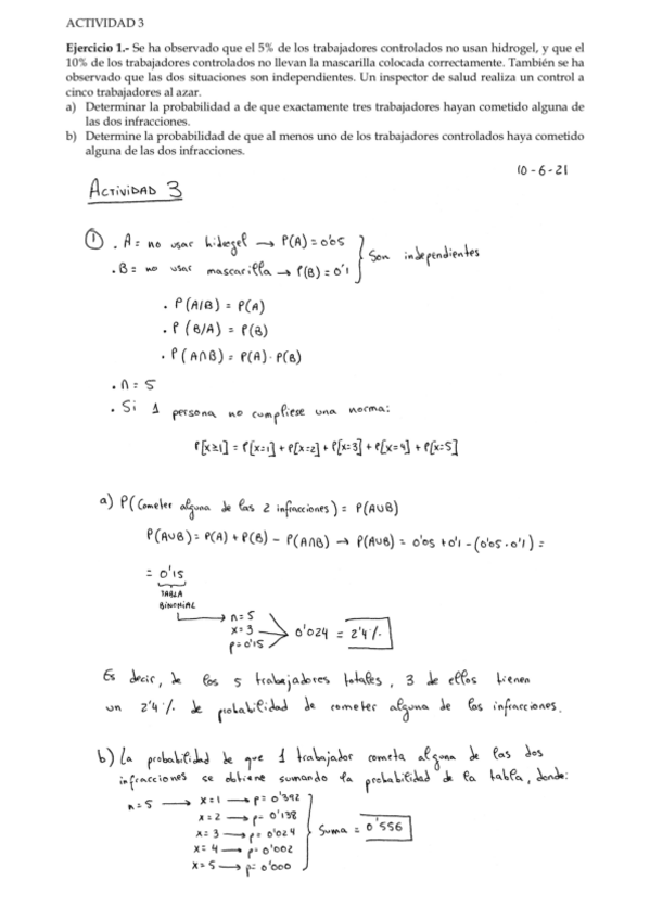
Actividad-Probabilidad.pdf
Actividad-estadistica-descriptiva.pdf

apuntes

-

Bioestadística

He publicado nuevos apuntes de 1º Bioestadística: Bioestadística

Tema-3.pdf
Tema-5.pdf
Tema-2.pdf
Tema-1.pdf
Tema-6.pdf
Tema-4.pdf

ejercicios

-

PROBLEMAS

He publicado nuevos ejercicios de 1º Bioestadística: PROBLEMAS

Relacion-no5.pdf
Relacion-no3.pdf
Relacion-no4.pdf

ejercicios

-

Actividades-ejercicios de bioestadística

He publicado nuevos ejercicios de 1º Bioestadística: Actividades-ejercicios de bioestadística

Actividades-de-bioestadistica-descriptiva-respuestas.pdf
Actividad-de-probabilidad-y-pruebas-diagnosticas-N.pdf

He publicado nuevos apuntes de 1º Bioestadística: TEMA-6-bioestadistica.pdf

4 páginas

He publicado nuevos apuntes de 1º Bioestadística: TEMA-5-bioestadistica.pdf

6 páginas

He publicado nuevos apuntes de 1º Bioestadística: TEMA-4-bioestadistica-.pdf

3 páginas

He publicado nuevos apuntes de 1º Bioestadística: TEMA-3-bioestaditica-.pdf

6 páginas

test

-

PREGUNTAS

He publicado nuevos test de 1º Bioestadística: PREGUNTAS

Preguntas-TEMA-1-Resueltas.pdf
Preguntas-TEMA-1.pdf

apuntes

-

BIOESTADÍSTICA

He publicado nuevos apuntes de 1º Bioestadística: BIOESTADÍSTICA

ESTADÍSTICA DESCRIPTIVA
MEDIDAS DE CENTRALIZACIÓN.pdf
MEDIDAS DISPERSION-FORMA-POSICION

He publicado nuevos apuntes de 1º Bioestadística: TEMA-2-bioestadistica-.pdf

8 páginas

apuntes

-

Apuntes bioestadística

He publicado nuevos apuntes de 1º Bioestadística: Apuntes bioestadística

TEMA-1-bioestadistica.pdf
TEMA-1.pdf

He publicado nuevos apuntes de 1º Bioestadística: TEMA-1-bioestadistica-.pdf

6 páginas

He publicado nuevos apuntes de 1º Bioestadística: TEMA-2.pdf

11 páginas

He publicado nuevos apuntes de 1º Bioestadística: TEMA-1-bioestadistica.pdf

16 páginas

apuntes

-

Actividades bioestadística

He publicado nuevos apuntes de 1º Bioestadística: Actividades bioestadística

Actividad-2-bioestadistica.pdf
Cuestiones-bloque-1-bioestadistica.pdf
Actividad-3-bioestadistica.pdf

apuntes

-

Bioestadística 20/21

He publicado nuevos apuntes de 1º Bioestadística: Bioestadística 20/21

Bloque-1-Actividades.pdf
Bloque-2-Actividades.pdf
Practica-2.pdf
Practica-1.pdf
Practica-3.pdf
Examen-de-practicas-.pdf

examenes

-

PARCIALES BIOESTADÍSTICA 2020

He publicado nuevos examenes de 1º Bioestadística: PARCIALES BIOESTADÍSTICA 2020

SEGUNDO-PARCIAL-BIOESTADISTICA.pdf
PRIMER-PARCIAL-BIOESTADISTICA.pdf

He publicado nuevos apuntes de 1º Bioestadística: EXAMEN-FINAL-BIOESTADISTICA.pdf

12 páginas

apuntes

-

EJERCICIOS BIOESTADISTICA TEMA 1

He publicado nuevos apuntes de 1º Bioestadística: EJERCICIOS BIOESTADISTICA TEMA 1

EJERCICIOS-BIOESTADISTICA-TEMA-1.pdf
EJERCICIOS-BIOESTADISTICA.pdf

apuntes

-

BIOESTADÍSTICA

He publicado nuevos apuntes de 1º Bioestadística: BIOESTADÍSTICA

TEMA-2-.pdf
TEMA-6-EXPLICACION.pdf
TEMA-5-EXPLICACION-y-EJERCICIOS.pdf
TEMA-1-.pdf
EJERCICIOS-PROBABILIDAD.pdf
TEMA-1.pdf

apuntes

-

BIOESTADÍSTICA

He publicado nuevos apuntes de 1º Bioestadística: BIOESTADÍSTICA

EXAMEN-2.pdf

He publicado nuevos apuntes de 1º Bioestadística: Tablas-Crutadas-o-personalitadast.pdf

4 páginas

apuntes

-

BIOESTADÍSTICA 2020

He publicado nuevos apuntes de 1º Bioestadística: BIOESTADÍSTICA 2020

TEMA-1-INTRODUCCION-Y-CONCEPTOS-CLAVES.pdf
TEMA-2-1o-Parte-ESTADISTICA-DESCRIPTIVA-.pdf
TEMA-2-2o-PARTE-REPRESENTACIONES-GRAFICAS.pdf
Anónimo

@Anónimo

He publicado nuevos apuntes de 1º Bioestadística: PREGUNTAS-TEORICAS-TEMA-0-INTRODUCCION-A-LA-BIOESTADISTICA-.pdf

1 página

He publicado nuevos apuntes de 1º Bioestadística: TEMA-1-ESTADISTICA-DESCRIPTIVA.pdf

8 páginas

apuntes

-

BIOESTADÍSTICA 2019

He publicado nuevos apuntes de 1º Bioestadística: BIOESTADÍSTICA 2019

Introduccion.pdf
TEMA-1-BIOESTADISTICA.pdf

apuntes

-

apuntes bioestadistica

He publicado nuevos apuntes de 1º Bioestadística: apuntes bioestadistica

tema-4.pdf
tema-1.pdf
tema-0.pdf
tema-2.pdf
tema-7.pdf
tema-5.pdf

He publicado nuevos apuntes de 1º Bioestadística: TABLAS CRUZADAS.pdf

4 páginas

He publicado nuevos apuntes de 1º Bioestadística: TEMA 2 REGRESION Y CORRELACIÓN WUOLAH.pdf

10 páginas

He publicado nuevos apuntes de 1º Bioestadística: TEMA 1 ESTADISTICA DESCRIPTIVA WUOLAH.pdf

10 páginas

apuntes

-

BIOESTADISTICA

He publicado nuevos apuntes de 1º Bioestadística: BIOESTADISTICA

Miniatura no disponible
2. Series estadísticas de dos variables.ppt
Miniatura no disponible
6. inferencia estadística.ppt
Miniatura no disponible
4. Variables aleatorias.ppt
Miniatura no disponible
1. Presentación estadística descriptiva0.ppt
Miniatura no disponible
distribuciones discretas y continuas.ppt
Miniatura no disponible
3. Probabilidad.ppt

apuntes

-

BIOESTADISTICA

He publicado nuevos apuntes de 1º Bioestadística: BIOESTADISTICA

TEMA 1 ESTADISTICA EN LAS CIENCIAS DE A SALUD.pdf
TEMA 2 ESTADISTICA DESCRIPTIVA.pdf
TEMA 3 ESTADISTICA DE DOS VARIABLES.pdf
TEMA 4 TABLAS CRUZADAS.pdf
TEMA 5 PROBABILIDAD.pdf
TEMA 6 VARIABLES ALEATORIAS.pdf