chevron_left
chevron_right
Todo
Apuntes
Ejercicios
Exámenes
chevron_left
chevron_right

He publicado nuevos ejercicios de 3º Biofarmacia y Farmacocinética II: TODOS-LOS-PROBLEMAS.pdf

26 páginas

apuntes

-

APUNTES + HOJAS RESUMEN

He publicado nuevos apuntes de 3º Biofarmacia y Farmacocinética II: APUNTES + HOJAS RESUMEN

TODOS-LOS-TEMAS.pdf
TODOS-LOS-TEMAS.pdf
Hojas-resumen.pdf
Hojas-resumen.pdf
Anónimo

@Anónimo

Preguntas INVENTADAS, son para repaso.

15 páginas
Anónimo

@Anónimo

He publicado nuevos apuntes de 3º Biofarmacia y Farmacocinética II: Resumen-tema-4-pacientes-espaciales-Bf-II.pdf

4 páginas

He publicado nuevos examenes de 3º Biofarmacia y Farmacocinética II: Examenes-Junio-2022-Y-2023.pdf

12 páginas

He publicado nuevos ejercicios de 3º Biofarmacia y Farmacocinética II: Seminarios-1-19.pdf

10 páginas

He publicado nuevos examenes de 3º Biofarmacia y Farmacocinética II: TEST-BIOFAR-II.pdf

2 páginas

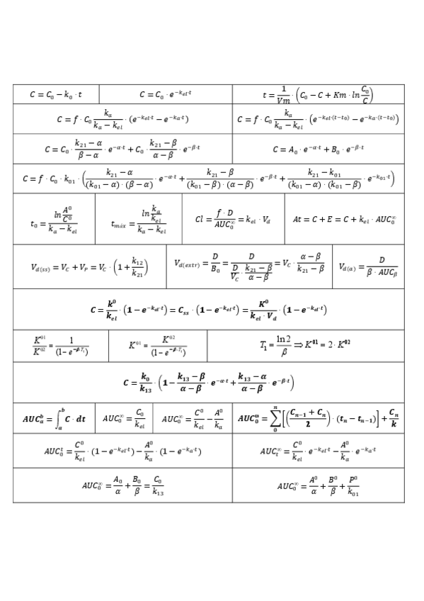
He publicado nuevos apuntes de 3º Biofarmacia y Farmacocinética II: Formulario-Biofarmacia-2.pdf

2 páginas
Anónimo

@Anónimo

apuntes

-

test practicas

He publicado nuevos apuntes de 3º Biofarmacia y Farmacocinética II: test practicas

practicas.pdf
practicas.pdf
examen-practicas.pdf
examen-practicas.pdf
¡Estás al día!

¡Estás al día!

Has visto todos los archivos