Ejercicio 2 Enunciado.pdf

SdeSocrates

Ejercicios Propuestos Resueltos

12 archivos·

Ejercicio 2 Enunciado.pdf

1 página

Ejercicio 2 Resuelto.pdf

1 página

Ejercicio 3 Enunciado.pdf

1 página

Ejercicio 3 Resuelto.pdf

1 página

Ejercicio 4 Enunciado.pdf

1 página

Ejercicio 4 Resuelto.pdf

2 páginas

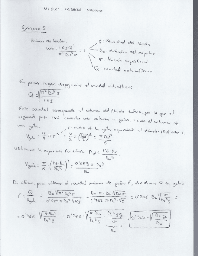
Ejercicio 5 Enunciado.pdf

1 página

Ejercicio 5 Resuelto.pdf

1 página

Ejercicio 6 Enunciado.pdf

1 página

Ejercicio 6 Resuelto.pdf

2 páginas

Ejercicio 8 Enunciado.pdf

1 página

Ejercicio 8 Resuelto.pdf

2 páginas

content_copy

Archivos recomendados