Teoria-Estatica.pdf

tito24

Temario Completo Biomecanica

7 archivos·

Teoria-Estatica.pdf

20 páginas

Teoria-Dinamica-de-sistemas.pdf

14 páginas

Teoria-Dinamica-de-la-particula.pdf

14 páginas

Teoria-Cinematica-del-solido-rigido-movimientos-finitos.pdf

10 páginas

Teoria-Cinematica-del-solido-rigido-movimientos-infinitesimales.pdf

20 páginas

Teoria-Cinematica-de-la-particula.pdf

10 páginas

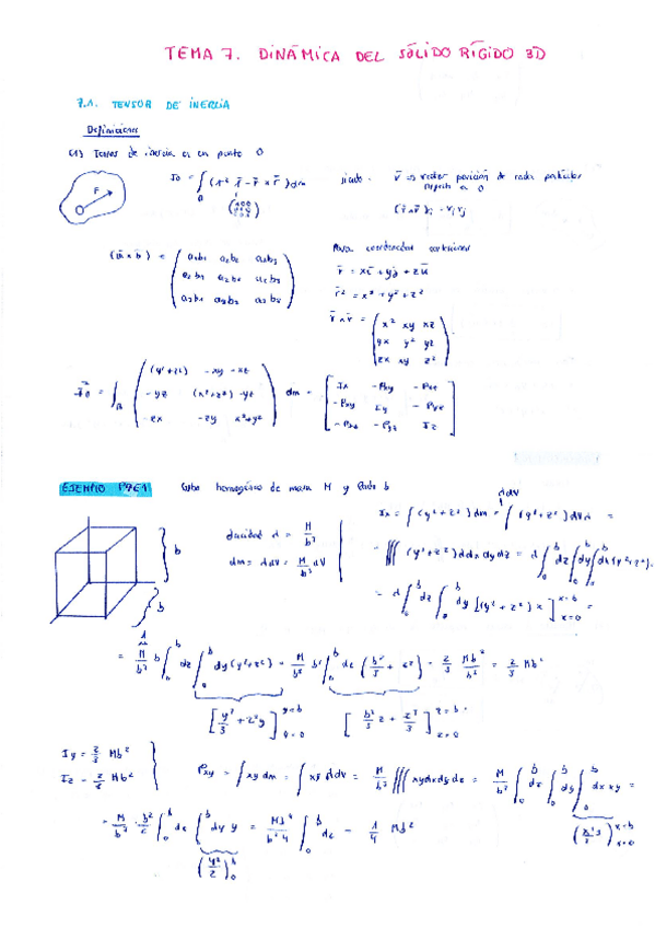
Teoria-Dinamica-del-solido-rigido-3D.pdf

8 páginas

content_copy

Archivos recomendados