LYS2
EXÁMENES
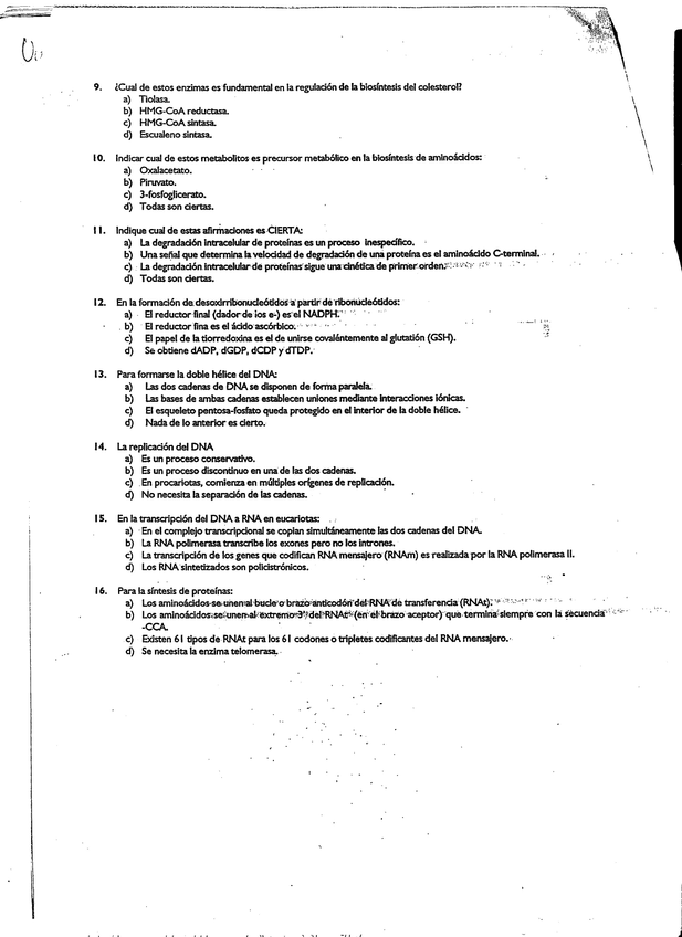
bq ii 002.jpg
bq ii 003.jpg
bq ii 004.jpg
bq ii 010.jpg
bq ii 005.jpg
bq ii 012.jpg
bq ii 014.jpg
examen practicas bq i 001.jpg
Exámenes - Examen Bioquimica II Junio 2012 español completo.pdf
pdf
9 páginas
689
19
Exámenes - PREGUNTAS-PRACTICAS-BIOQUIMICA-II.pdf
5 páginas
673
25
Exámenes - Examen-Desarrollo-BQ2-CORREGIDO.pdf
415
31
Exámenes - PREGUNTAS-EXAMEN-2021-BIOQ-MOLECULAR.pdf
2 páginas
408
27
Apuntes - Bioquimica II temario completo.pdf
226 páginas
293
8
Exámenes - examenes-bq2.pdf
30 páginas
459
12
Exámenes - Resumen preguntas cortas Genética.docx
docx
136
7
Exámenes - bq ii 002.jpg
jpg
150
9
Exámenes - EXAMEN-BIOQUIMICA-II-2024.pdf
7 páginas
268
22
Exámenes - TEST-BIOQUIMICA-II.pdf
15 páginas
259
Apuntes - BIOLOGÍA MOLECULAR.pdf
155 páginas
162
1
Exámenes - tutoria 1-4.output.pdf
4 páginas
219
2
Exámenes - preguntas-examen-bioquimica-II-junio-2020-teoria--practica.pdf
80 páginas
350
Apuntes - TEMA-1-BQ-II.pdf
13 páginas
6
Apuntes - REPASO-EXAMEN-PRACTICAS-BQ-II.pdf
310
10
Apuntes - Preguntas examen bioquímica.docx
67
Ejercicios - EJERCICIOS-MOLECULAR.pdf
10 páginas
193
Apuntes - Examen-BQ2-Junio-2020.pdf
6 páginas
275
Exámenes - PREGUNTAS-TEST-BQII.pdf
22 páginas
216
17
Exámenes - examen practicas bq i 001.jpg
145
5