wuolerr02
apuntsteoria.pdf
103 páginas
Apuntes - apuntsteoria.pdf
pdf
16
2
Apuntes - RB-2018-11-14-09.pdf
1 página
5
0
Apuntes - Ex.Punto-control-Noviembre-2012-CAS-RESUELTO.pdf
0 páginas
4
Apuntes - RB-2018-10-22-08.pdf
Apuntes - ES1CalculJuny2012CORREGIT.pdf
6 páginas
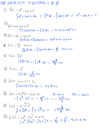
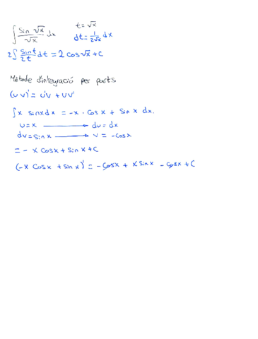
Apuntes - EXERCICIS-DINTERALS.pdf
Apuntes - TEOREMA-DE-ROLLE.pdf
3
Apuntes - RB-2018-10-19-09.pdf
Apuntes - 1.pdf
6
Apuntes - RB-2018-10-11-11.pdf
1
Apuntes - ES2CalculJuny2012CORREGIT.pdf
4 páginas
Apuntes - TAULA-DE-PRIMITIVES.pdf
Apuntes - ES2CalculJuliol2011corregit.pdf
Apuntes - ESGener2014CAT-corregit.pdf
5 páginas
Apuntes - RB-2018-12-12-10.pdf
Apuntes - 3.pdf
Apuntes - IntegraciA.pdf
Apuntes - RB-2018-10-16-09.pdf
Apuntes - EXERCICIS-DINTERALS1.pdf