Anónimo
Formularis
FormulariIntegrals18.pdf
3 páginas
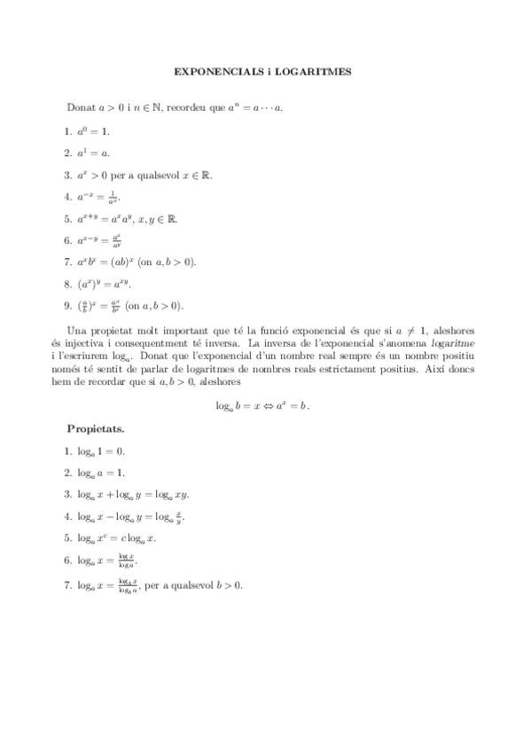
exponencialslogarit.pdf
1 página
identitatstrigonometriques.pdf
Taulaparticulars.pdf
LlistaDerivades.pdf
2 páginas
Exámenes - Parcial-1-resuelto.pdf
pdf
0 páginas
249
2
Exámenes - primerparcialResolucio.pdf
5 páginas
145
0
Exámenes - Seminario-Calculo-Examen.pdf
127
Exámenes - ResolucioSegonParcial.pdf
4 páginas
130
Exámenes - recuperacioprimerparcial.pdf
100
Apuntes - Apuntes-y-ejercicios.pdf
31 páginas
46
3
Apuntes - Calculo-completo.pdf
105 páginas
52
1
Apuntes - Lista-5.pdf
8 páginas
39
Apuntes - Lista-6.pdf
6 páginas
42
Ejercicios - Lista-7.pdf
44
Exámenes - recuperaciosegonparcial.pdf
73
Apuntes - FormulariIntegrals18.pdf
28
Exámenes - RESUMEN-SEMINARIO-CALCULO-1ero.pdf
31
Apuntes - Teorico-calculo-1-corto.pdf
33
Apuntes - Lista-4.pdf
20
Apuntes - Lista-3.pdf
Apuntes - Integrales-Practico-15-ejercicios-hechos-y-para-hacer.pdf
9 páginas
12
Apuntes - CDIVV-Segundo-parcial-mio.pdf
11 páginas
21
Apuntes - resumen-notas-calculo-1.pdf
7 páginas
26