Càlcul
He publicado nuevos apuntes de 1º Càlcul: APUNTES-DE-CARNET-DE-CONDUCIR-ESPANA-17.pdf
He publicado nuevos apuntes de 1º Càlcul: Examen-de-Practica-Metodos-Matematicos-II-5.pdf
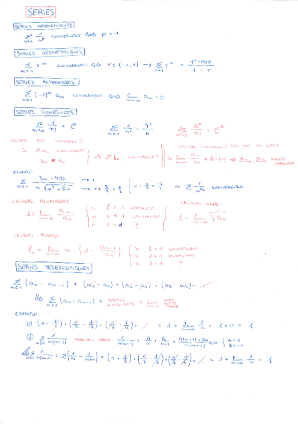
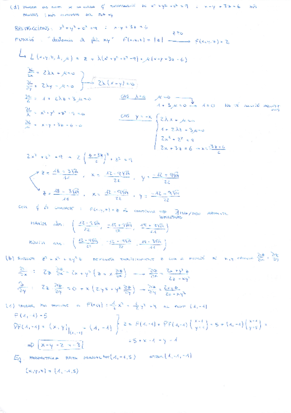
Resum breu de tot el que cal tenir en compte a l'assignatura de Càlcul de 1r de carrera d'Enginyeria Civil i part introductòria d'alguns conceptes importants de Càlcul vectorial i equacions diferencials
apuntes
-
Resums i problemes
He publicado nuevos apuntes de 1º Càlcul: Resums i problemes
apuntes
-
Cálculo
He publicado nuevos apuntes de 1º Càlcul: Cálculo
He publicado nuevos apuntes de 1º Càlcul: 2. Sequences and series.pdf
He publicado nuevos apuntes de 1º Càlcul: Resums càlcul. Toni ejarque.pdf
apuntes
-
Segon Quatri
He publicado nuevos apuntes de 1º Càlcul: Segon Quatri
He publicado nuevos examenes de 1º Càlcul: Examens Finals Primer Quatri.pdf
examenes
-
Examenes Resueltos
He publicado nuevos examenes de 1º Càlcul: Examenes Resueltos
¡Estás al día!
Has visto todos los archivos
