Cálculo de Probabilidades

chevron_left
chevron_right
Todo
Apuntes
Ejercicios
Exámenes
chevron_left
chevron_right

He publicado nuevos examenes de 3º Cálculo de Probabilidades: Parcial-resuelto-23-24.pdf

7 páginas

He publicado nuevos examenes de 3º Cálculo de Probabilidades: Examen-resuelto-ene-23-24.pdf

5 páginas

He publicado nuevos examenes de 3º Cálculo de Probabilidades: Examen-resuelto-ene-2024-2025.pdf

5 páginas

He publicado nuevos examenes de 3º Cálculo de Probabilidades: Examen-Resuelto-feb-23-24.pdf

7 páginas

He publicado nuevos examenes de 3º Cálculo de Probabilidades: Examen-Resuelto-feb-2025.pdf

5 páginas

He publicado nuevos examenes de 3º Cálculo de Probabilidades: final-202425.pdf

6 páginas

He publicado nuevos ejercicios de 3º Cálculo de Probabilidades: ejercicios1.pdf

25 páginas

He publicado nuevos ejercicios de 3º Cálculo de Probabilidades: ejercicios2.pdf

13 páginas

He publicado nuevos examenes de 3º Cálculo de Probabilidades: examenes-202324.pdf

11 páginas

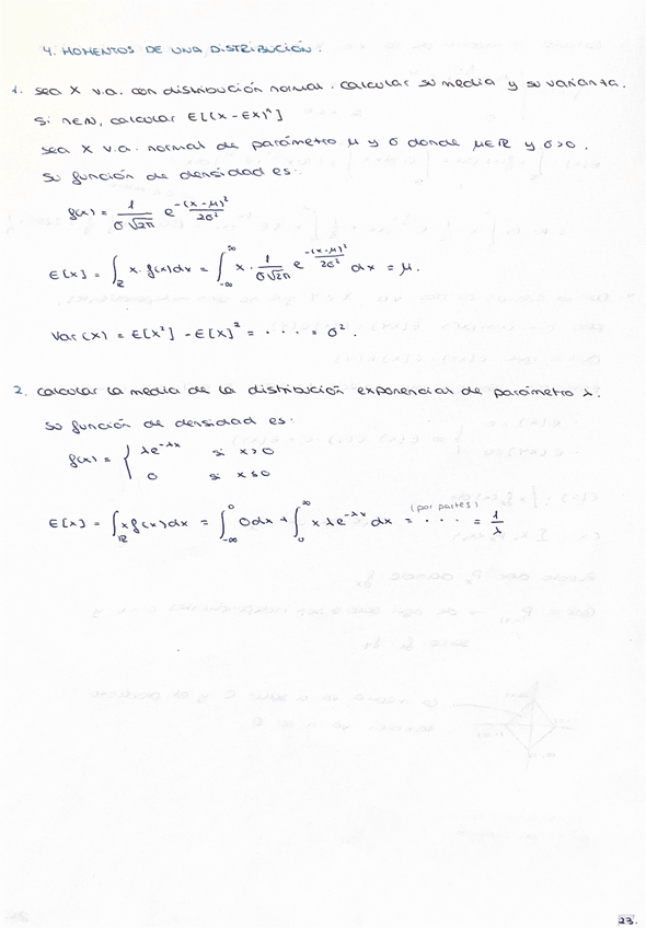
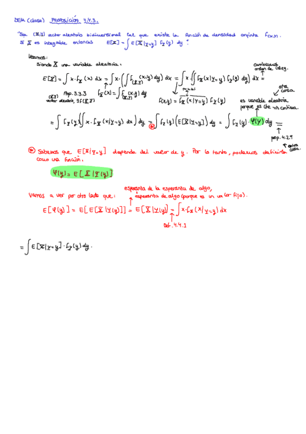
He publicado nuevos apuntes de 3º Cálculo de Probabilidades: Demostracion.pdf

1 página
¡Estás al día!

¡Estás al día!

Has visto todos los archivos