Cálculo Diferencial e Integral II

Todo
Apuntes
Ejercicios
Exámenes
chevron_left
chevron_right

examenes

-

Azterketak (2. kuatri)

Azterketa Ebatziak (2. kuatri)

2023-MAIATZA-Kalkulo-II.pdf
2024-EKAINA-Kalkulo-II.pdf
2024-MAIATZA-Kalkulo-II.pdf

ejercicios

-

Kalkulo II (2. Kuatria)

2. Kuatriko ariketak

IBILBIDE-eta-LERRO-INTEGRALAK-Kalkulo-II.pdf
GAINAZAL-INTEGRALAK-eta-ANALISI-BEKTORIALEKO-TEOREMAK-Kalkulo-II.pdf
ARIKETA-GEHIGARRIAK-Kalkulo-II.pdf
EKIJARRAITUTASUNA-Kalkulo-II.pdf
FOURIERREN-SERIEAK-Kalkulo-II.pdf
ALDAGAI-ALDAKETA-Kalkulo-II.pdf

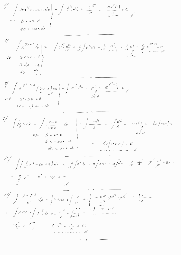
He publicado nuevos apuntes de 2º Cálculo Diferencial e Integral II: FORMULARIO-BASICO-DE-CALCULO.pdf

2 páginas

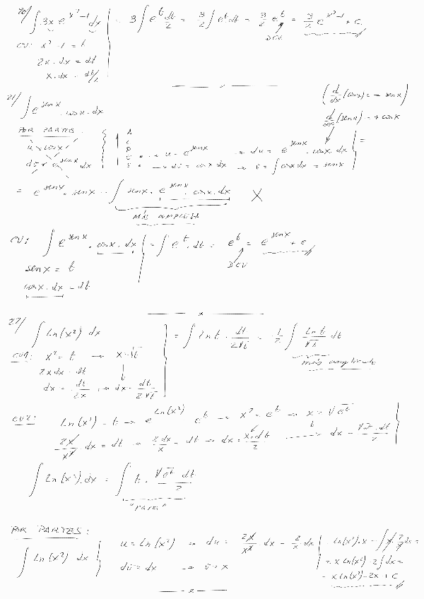
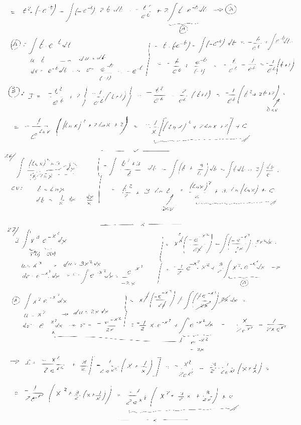
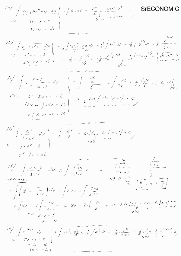
He publicado nuevos apuntes de 2º Cálculo Diferencial e Integral II: Ejercicios-resueltos-II-Sustitucion-simple.pdf

2 páginas

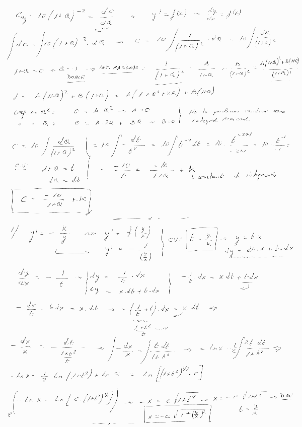
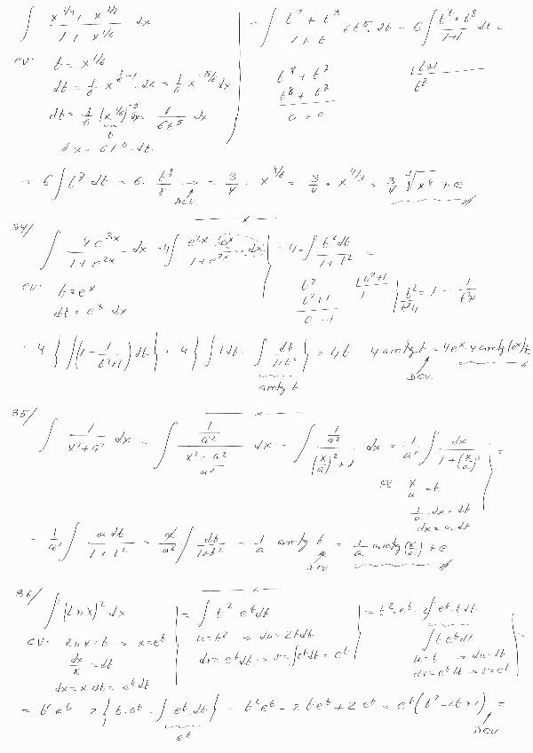
He publicado nuevos apuntes de 2º Cálculo Diferencial e Integral II: Ejercicios-Resueltos-I-Integrales-simples.pdf

3 páginas

apuntes

-

ARIKETA EBATZIAK

He publicado nuevos apuntes de 2º Cálculo Diferencial e Integral II: ARIKETA EBATZIAK

1.-Normak.pdf
2.-Limiteak.pdf
3.-Funtzio-linealak.pdf
4.-Diferentziala.pdf
5.-Katearen-erregela.pdf
6.-Muturrak.pdf

He publicado nuevos apuntes de 2º Cálculo Diferencial e Integral II: FOURIERREN-SERIEAK.pdf

1 página

He publicado nuevos apuntes de 2º Cálculo Diferencial e Integral II: KALKULU BEKTORIALA.pdf

8 páginas

He publicado nuevos apuntes de 2º Cálculo Diferencial e Integral II: CDI-IIM-CLASE-EXTRA-Ejercicios-TEMA-4.pdf

19 páginas

He publicado nuevos apuntes de 2º Cálculo Diferencial e Integral II: CDI-IIM-CLASE-18-23.04.2021.pdf

12 páginas

He publicado nuevos apuntes de 2º Cálculo Diferencial e Integral II: CDI-IIM-CLASE-19-29.04.2021-PARTE-1-2.pdf

4 páginas

He publicado nuevos apuntes de 2º Cálculo Diferencial e Integral II: CDI-IIM-CLASE-16-16.04.2021.pdf

9 páginas

He publicado nuevos apuntes de 2º Cálculo Diferencial e Integral II: CDI-IIM-CLASE-17-22.04.2021.pdf

6 páginas

He publicado nuevos apuntes de 2º Cálculo Diferencial e Integral II: CDI-IIM-CLASE-15-15.04.2021.pdf

11 páginas

He publicado nuevos apuntes de 2º Cálculo Diferencial e Integral II: CDI-IIM-CLASE-13-08.04.2021.pdf

10 páginas

He publicado nuevos apuntes de 2º Cálculo Diferencial e Integral II: CDI-IIM-CLASE-14-09.04.2021.pdf

7 páginas

He publicado nuevos apuntes de 2º Cálculo Diferencial e Integral II: CDI-IIEjerciciosTema4.pdf

1 página

He publicado nuevos apuntes de 2º Cálculo Diferencial e Integral II: CDI-IIM-CLASE-11-25.03.2021.pdf

11 páginas

He publicado nuevos apuntes de 2º Cálculo Diferencial e Integral II: CDI-IIM-CLASE-10-18.03.2021.pdf

7 páginas

He publicado nuevos apuntes de 2º Cálculo Diferencial e Integral II: CDI-IIM-CLASE-12-26.03.2021.pdf

7 páginas

He publicado nuevos apuntes de 2º Cálculo Diferencial e Integral II: CDI-IITEMA6.pdf

16 páginas

He publicado nuevos apuntes de 2º Cálculo Diferencial e Integral II: CDI-IITEMA5.pdf

18 páginas

He publicado nuevos apuntes de 2º Cálculo Diferencial e Integral II: CDI-IIEjerciciosTema5.pdf

1 página

He publicado nuevos apuntes de 2º Cálculo Diferencial e Integral II: CDI-IIEjerciciosTema6.pdf

1 página

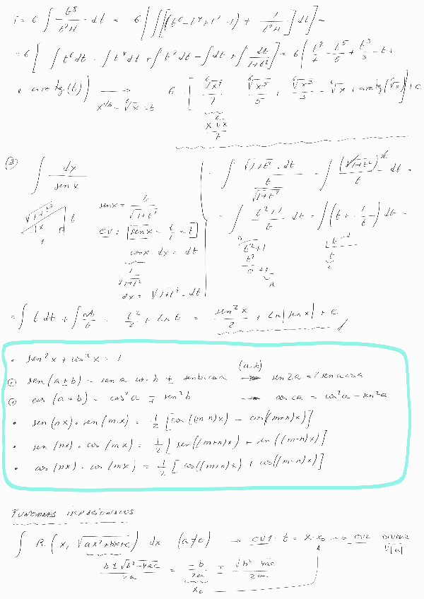
En este apuntes vienen los 3 casos de la sustitución de euler explicadas más algunos ejercicios

4 páginas

He publicado nuevos apuntes de 2º Cálculo Diferencial e Integral II: ACT2FernandoJesusValdezParra.pdf

6 páginas

He publicado nuevos apuntes de 2º Cálculo Diferencial e Integral II: ACT10FernandoJesusValdezParra.pdf

6 páginas

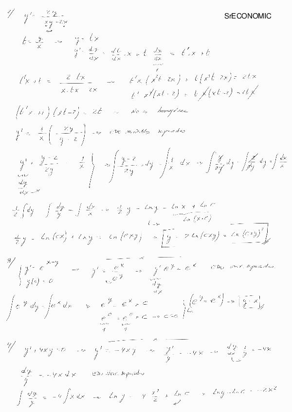
He publicado nuevos examenes de 2º Cálculo Diferencial e Integral II: calculo-1.pdf

10 páginas

He publicado nuevos examenes de 2º Cálculo Diferencial e Integral II: calculo21.pdf

13 páginas

He publicado nuevos examenes de 2º Cálculo Diferencial e Integral II: Calculo2-1.pdf

7 páginas

He publicado nuevos examenes de 2º Cálculo Diferencial e Integral II: Calculo-2-1.pdf

5 páginas

He publicado nuevos examenes de 2º Cálculo Diferencial e Integral II: Calculo2-1.pdf

12 páginas

He publicado nuevos examenes de 2º Cálculo Diferencial e Integral II: calculo2-1.pdf

3 páginas

Todos los pdfs incluyen la explicación de la teoría y la solución de las integrales :)

3 páginas

He publicado nuevos apuntes de 2º Cálculo Diferencial e Integral II: TEMA-8-Sistemas-dinamicos-PARTE-2.pdf

4 páginas

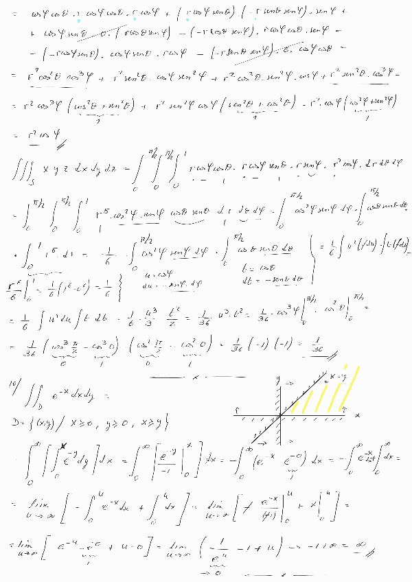
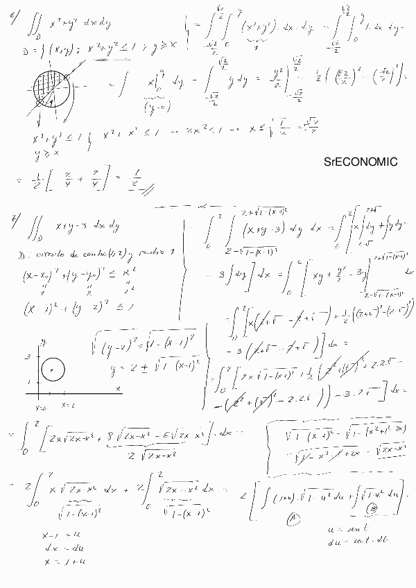
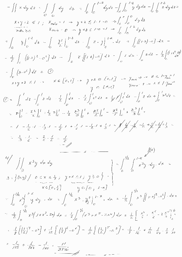
He publicado nuevos apuntes de 2º Cálculo Diferencial e Integral II: TEMA-7-Integrales-multiples-PARTE-4.pdf

3 páginas

He publicado nuevos apuntes de 2º Cálculo Diferencial e Integral II: TEMA-8-Sistemas-dinamicos-PARTE-1.pdf

3 páginas

He publicado nuevos apuntes de 2º Cálculo Diferencial e Integral II: TEMA-7-Integrales-multiples-PARTE-3.pdf

2 páginas

He publicado nuevos apuntes de 2º Cálculo Diferencial e Integral II: TEMA-7-Integrales-multiples-PARTE-2.pdf

3 páginas

He publicado nuevos apuntes de 2º Cálculo Diferencial e Integral II: TEMA-7-Integrales-multiples-PARTE-1.pdf

2 páginas

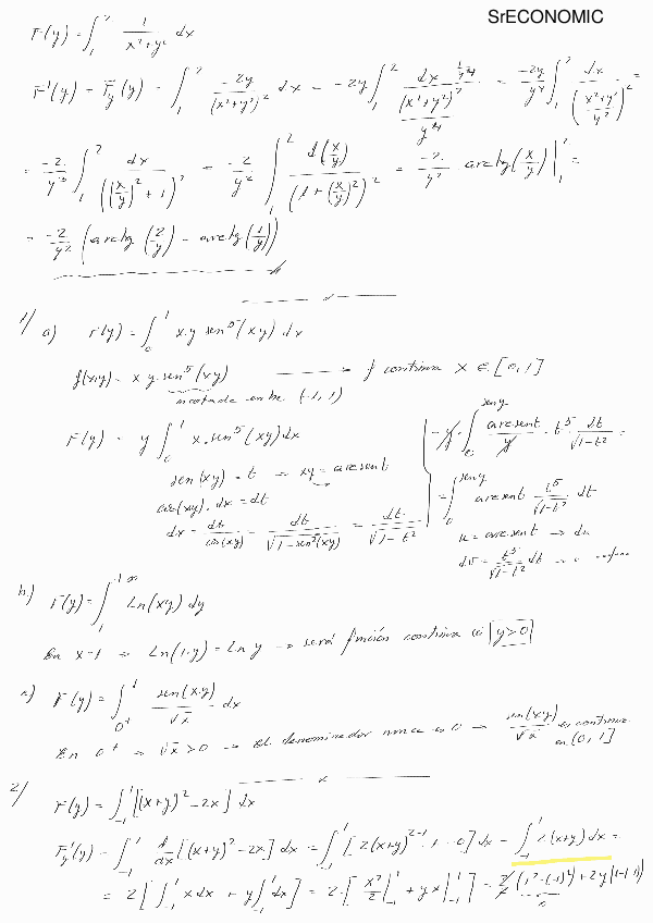
He publicado nuevos apuntes de 2º Cálculo Diferencial e Integral II: TEMA-6-Integrales-dependientes-de-parametros.pdf

3 páginas

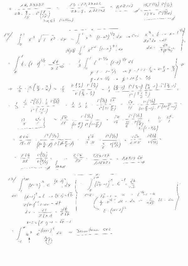
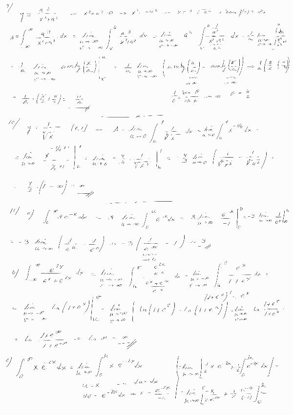
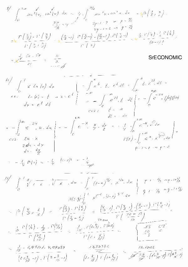
He publicado nuevos apuntes de 2º Cálculo Diferencial e Integral II: TEMA-5-Integrales-eulerianas-PARTE-4.pdf

2 páginas

He publicado nuevos apuntes de 2º Cálculo Diferencial e Integral II: TEMA-5-Integrales-eulerianas-PARTE-3.pdf

3 páginas

He publicado nuevos apuntes de 2º Cálculo Diferencial e Integral II: TEMA-5-Integrales-eulerianas-PARTE-2.pdf

2 páginas

He publicado nuevos apuntes de 2º Cálculo Diferencial e Integral II: TEMA-5-Integrales-eulerianas-PARTE-1.pdf

2 páginas

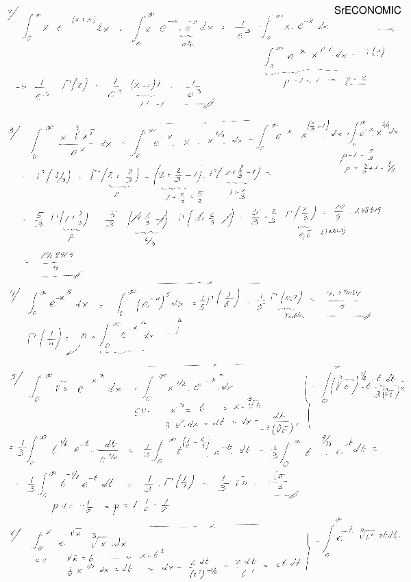
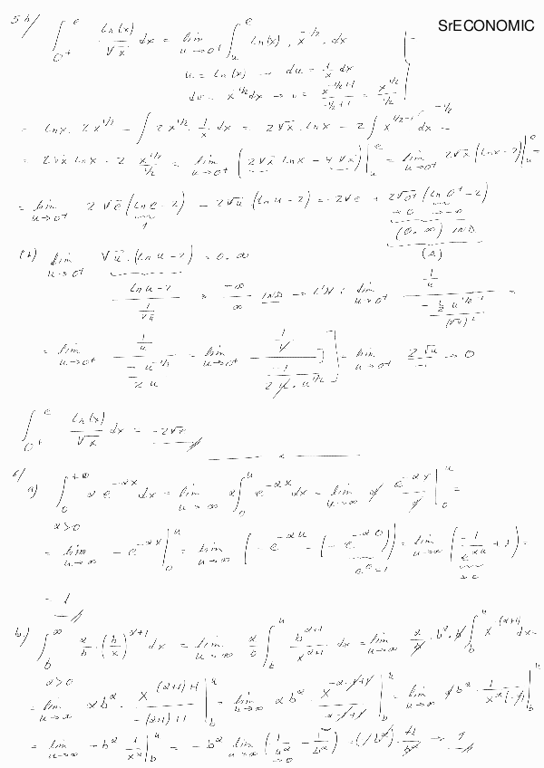
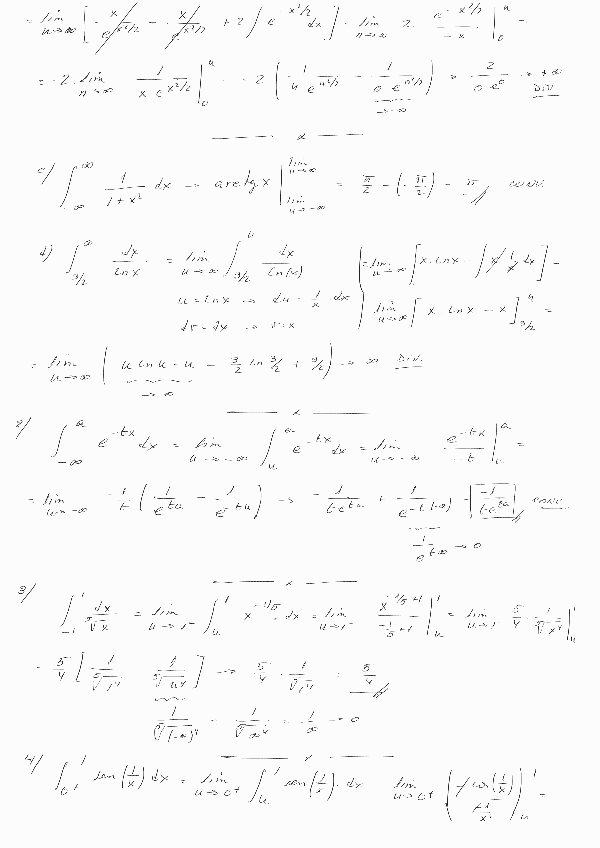
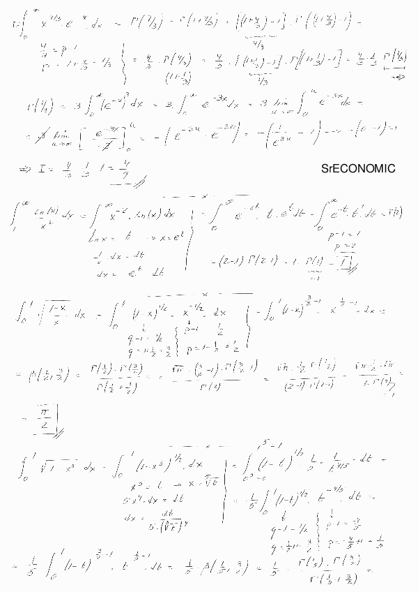
He publicado nuevos apuntes de 2º Cálculo Diferencial e Integral II: TEMA-4-Integrales-Impropias-PARTE-3.pdf

3 páginas

He publicado nuevos apuntes de 2º Cálculo Diferencial e Integral II: TEMA-4-Integrales-Impropias-PARTE-4.pdf

3 páginas

He publicado nuevos apuntes de 2º Cálculo Diferencial e Integral II: TEMA-4-Integrales-Impropias-PARTE-2.pdf

3 páginas

He publicado nuevos apuntes de 2º Cálculo Diferencial e Integral II: TEMA-4-Integrales-Impropias-PARTE-1.pdf

3 páginas

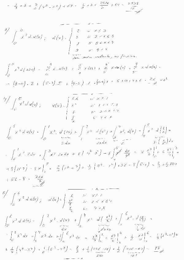
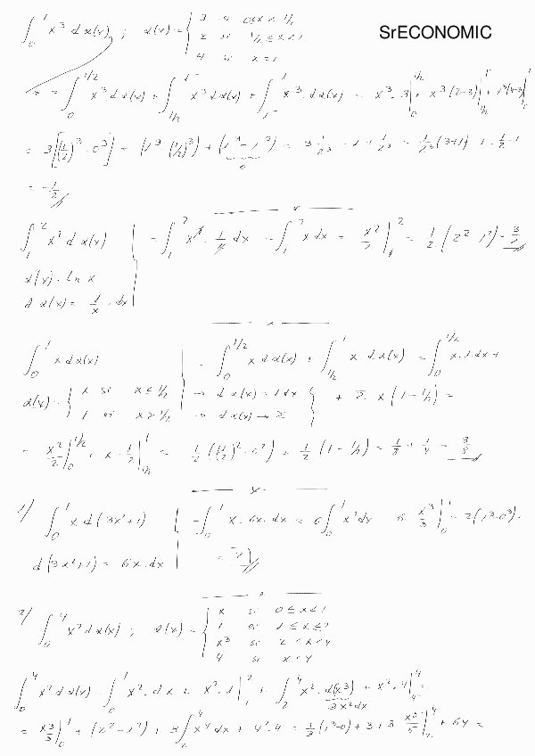
He publicado nuevos apuntes de 2º Cálculo Diferencial e Integral II: TEMA-3-Integral-de-Riemann-Stieltjes.pdf

3 páginas

He publicado nuevos apuntes de 2º Cálculo Diferencial e Integral II: TEMA-2-Integral-de-Riemann-PARTE-3.pdf

3 páginas

He publicado nuevos apuntes de 2º Cálculo Diferencial e Integral II: TEMA-2-Integral-de-Riemann-PARTE-2.pdf

3 páginas

He publicado nuevos apuntes de 2º Cálculo Diferencial e Integral II: TEMA-2-Integral-de-Riemann-PARTE-1.pdf

3 páginas

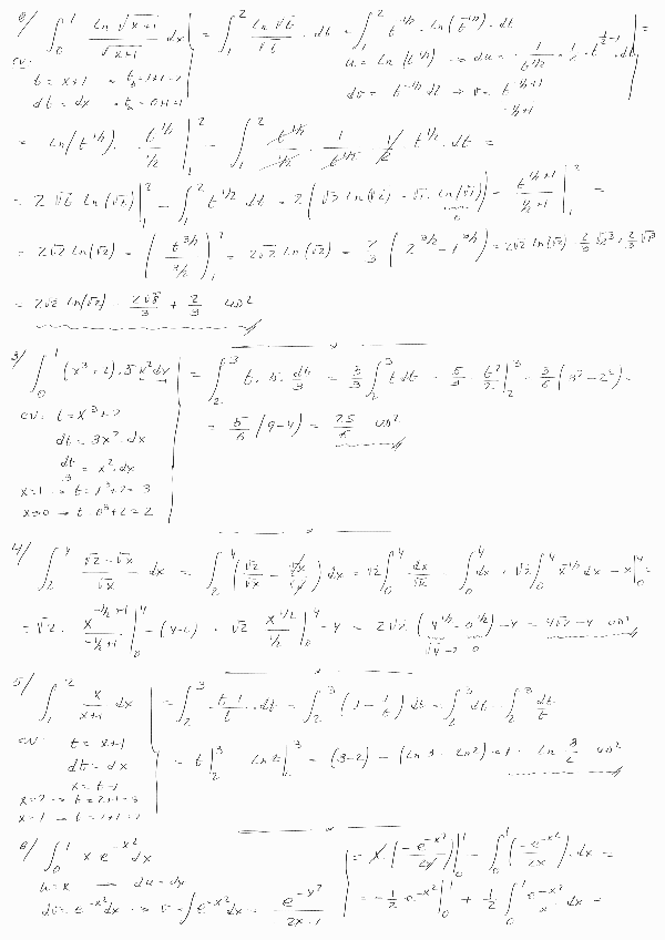
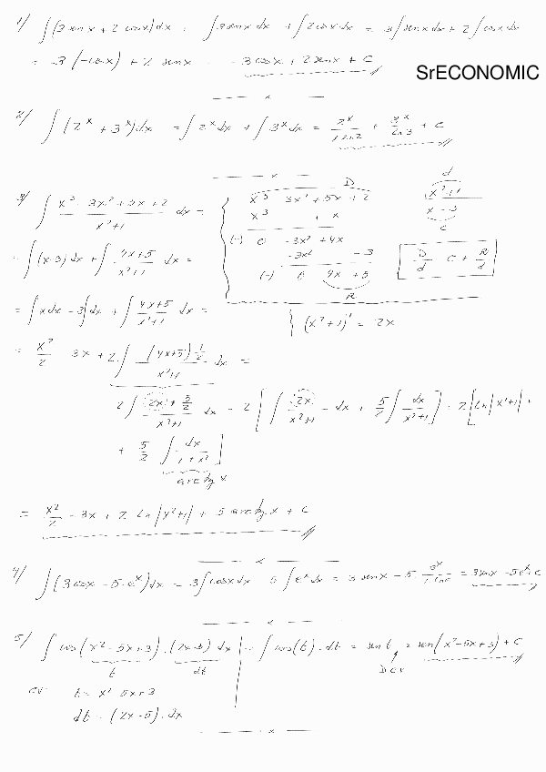
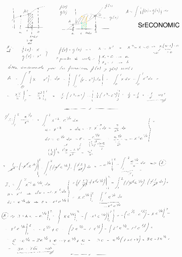
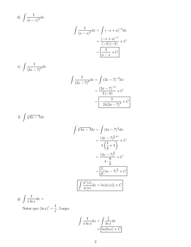
He publicado nuevos apuntes de 2º Cálculo Diferencial e Integral II: TEMA-1-Calculo-de-primitivas-PARTE-7.pdf

3 páginas

He publicado nuevos apuntes de 2º Cálculo Diferencial e Integral II: TEMA-1-Calculo-de-primitivas-PARTE-6.pdf

3 páginas

He publicado nuevos apuntes de 2º Cálculo Diferencial e Integral II: TEMA-1-Calculo-de-primitivas-PARTE-5.pdf

3 páginas

He publicado nuevos apuntes de 2º Cálculo Diferencial e Integral II: TEMA-1-Calculo-de-primitivas-PARTE-4.pdf

3 páginas

He publicado nuevos apuntes de 2º Cálculo Diferencial e Integral II: TEMA-1-Calculo-de-primitivas-PARTE-3.pdf

3 páginas

He publicado nuevos apuntes de 2º Cálculo Diferencial e Integral II: TEMA-1-Calculo-de-primitivas-PARTE-2.pdf

3 páginas

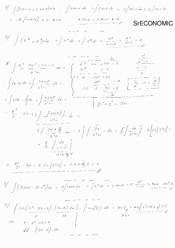
He publicado nuevos apuntes de 2º Cálculo Diferencial e Integral II: Tema1primitivasymetodosdeintegracionEduardoDuarteDominguez.pdf

12 páginas