Portada
Asignatura
Ingeniería Química Industrial (IPN)
Cálculo Diferencial e Integral
Fecha de subida
13 abr 2023
Categoría
apuntes
Información
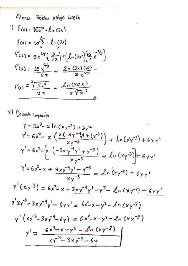
examen de calculo integral y diferencial
Etiquetas
Exámenes - Examen-1-CDI.pdf
pdf
7 páginas
7
0
Apuntes - 1im24-mora-lopez-zyanya-andrea.pdf
12 páginas
3
Ejercicios - Integral-por-Fracciones-Parciales.pdf
2 páginas
Ejercicios - 2021Ejerciciosexamen.pdf
33 páginas
6
Apuntes - 2doExamenCalculo1IM20.pdf
4 páginas
Ejercicios - Ejercicio-Sustitucion-trigonometrica.pdf
1 página
2
Exámenes - Examen-1-Precalculo.pdf
Exámenes - Examen-2-Precalculo.pdf
6 páginas
4
Apuntes - Apuntes-de-calculo..pdf
3 páginas
1
Ejercicios - Integrales-de-logaritmos.Integral-logaritmica
integral logarítmica
Información
examen de calculo integral y diferencial