Anónimo
Examenes CDI
cdi-examen-2012-01-19.pdf
2 páginas
ejerciciostipocdi2.pdf
5 páginas
examenCDIJavierPuertagomez.pdf
8 páginas
EjIntegralesimpropias.pdf
EjTFCalculo.pdf
3 páginas
ejercicios-tipo-cdi.pdf
7 páginas
ejercicios-tipo.pdf
ejerciciostipocdi1.pdf
examen-2019.pdf
1 página
Apuntes - CDI.pdf
pdf
36 páginas
26
0
Apuntes - Calculo-Diferencial-para-funciones-reales.pdf
15 páginas
12
Apuntes - Extremos.pdf
15
Exámenes - cdi-examen-2012-01-19.pdf
10
Apuntes - Desarrollo-de-Taylor-y-Teoremas-de-la-funcion-inversa-e-implicita.pdf
12 páginas
16
Exámenes - ejerciciostipocdi2.pdf
5
Apuntes - Calculo-diferencial-para-funciones-vectoriales.pdf
16 páginas
Exámenes - examenCDIJavierPuertagomez.pdf
Exámenes - EjTFCalculo.pdf
3
Exámenes - examen-2019.pdf
7
Exámenes - EjIntegralesimpropias.pdf
2
Exámenes - ejerciciostipocdi1.pdf
Exámenes - ejercicios-tipo-cdi.pdf
4
Exámenes - ejercicios-tipo.pdf
0 páginas
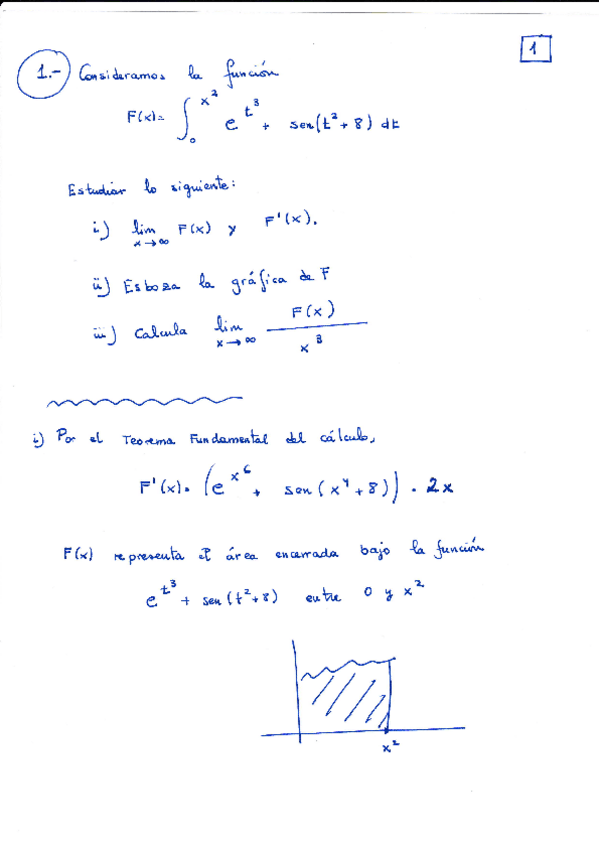
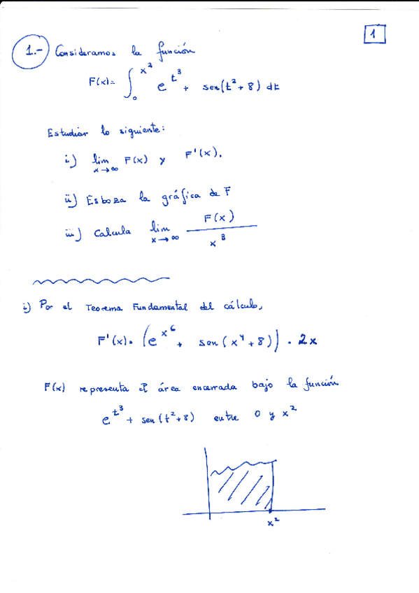
1