1o-parcial-2020-2021-soluciones.pdf

Anónimo

Exámenes primer parcial

12 archivos·

1o-parcial-2020-2021-soluciones.pdf

5 páginas

Soluciones-20-11-2013.pdf

2 páginas

1o-parcial-2019-2020-soluciones.pdf

4 páginas

1o-parcial-2019-2020.pdf

1 página

1o-parcial-2020-2021.pdf

1 página

1o-parcial-2021-2022.pdf

2 páginas

Primera-prueba-escrita-19-11-2014.pdf

1 página

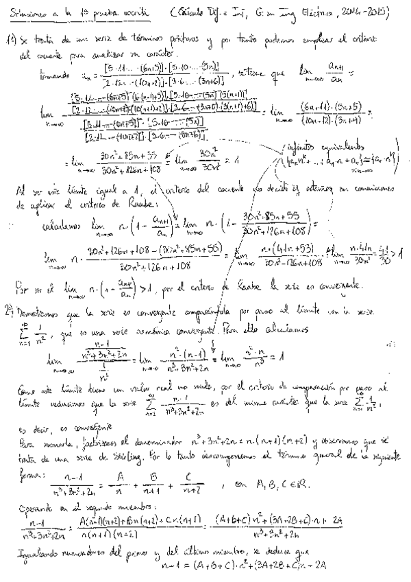
Soluciones-19-11-2014.pdf

3 páginas

1o-parcial-2021-2022-soluciones.pdf

4 páginas

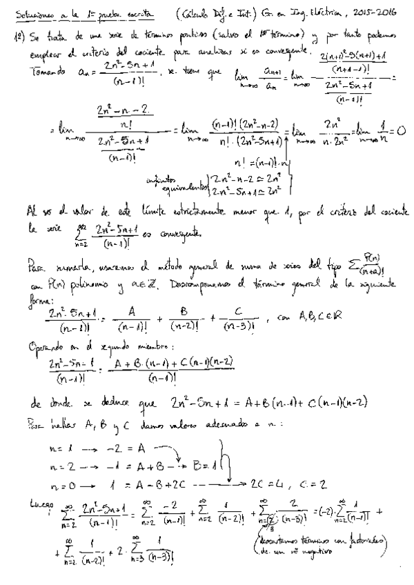
Soluciones-19-11-2015.pdf

3 páginas

Primera-prueba-escrita-20-11-2013.pdf

1 página

Primera-prueba-escrita-19-11-2015.pdf

1 página

content_copy

Archivos recomendados