chevron_left
chevron_right
Todo
Apuntes
Ejercicios
Exámenes
chevron_left
chevron_right

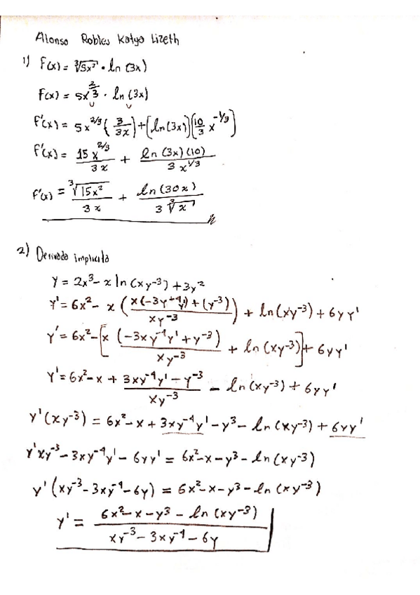
He publicado nuevos apuntes de 1º Cálculo Diferencial e Integral: Apuntes-de-calculo..pdf

3 páginas

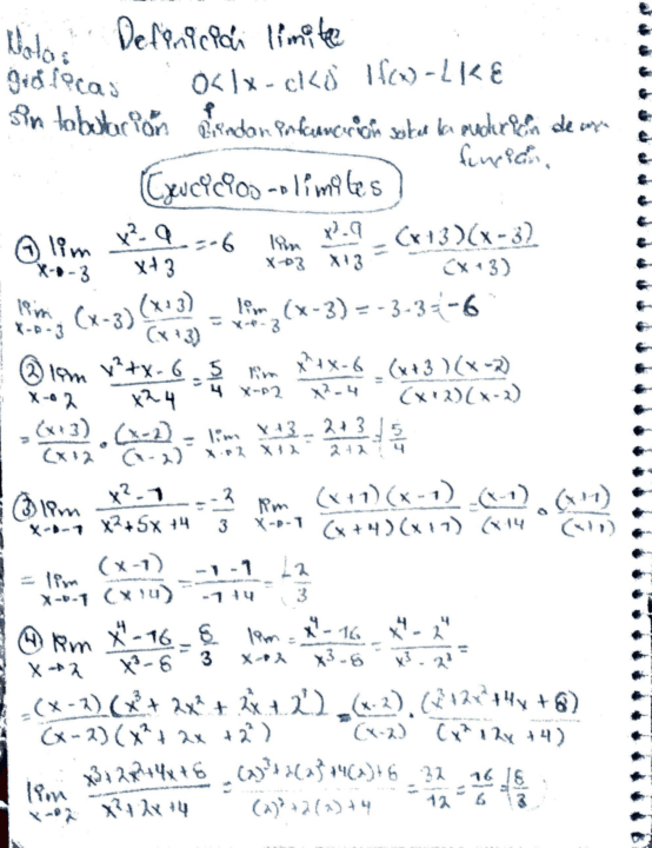
He publicado nuevos ejercicios de 1º Cálculo Diferencial e Integral: 2021Ejerciciosexamen.pdf

33 páginas
Anónimo

@Anónimo

Segundo Examen departamental Precalculo

6 páginas
Anónimo

@Anónimo

Primer Examen Departamental Precalculo

7 páginas
Anónimo

@Anónimo

He publicado nuevos ejercicios de 1º Cálculo Diferencial e Integral: Integral-por-Fracciones-Parciales.pdf

2 páginas
Anónimo

@Anónimo

He publicado nuevos ejercicios de 1º Cálculo Diferencial e Integral: Ejercicio-Sustitucion-trigonometrica.pdf

1 página
Anónimo

@Anónimo

Primer examen parcial CDI

7 páginas

He publicado nuevos apuntes de 1º Cálculo Diferencial e Integral: 1im24-mora-lopez-zyanya-andrea.pdf

12 páginas

He publicado nuevos ejercicios de 1º Cálculo Diferencial e Integral: Integrales-de-logaritmos.Integral-logaritmica

Miniatura no disponible

examen de calculo integral y diferencial

4 páginas
¡Estás al día!

¡Estás al día!

Has visto todos los archivos