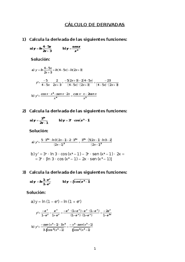
ejercicios-resueltos-de-calculo-de-derivadas.pdf

FabianQuintero

apuntes de calculo diferencial

75 archivos·

GuiaDerivadasEjerciciosResueltosDeri.pdf

14 páginas

10derivadas.pdf

12 páginas

derivadas-guia.pdf

11 páginas

derivadas.pdf

5 páginas

tema-8.pdf

9 páginas

Numeros-Reales.pdf

4 páginas

Funciones.pdf

9 páginas

Limtes-de-funciones-y-continuidad.pdf

10 páginas

Funciones-Trigonometricas.pdf

2 páginas

Propiedades-Basicas-de-Funciones-algebraicas.pdf

2 páginas

Funciones-Exponenciales-y-Logaritmicas.pdf

1 página

Sucesiones.pdf

Guia-0-Ingreso.pdf

27 páginas

Conicas.pdf

3 páginas

Ecuaciones-de-1o-Grado.pdf

3 páginas

pdf-limite-de-una-constante.pdf

5 páginas

limite-de-una-funcion.pdf

1 página

limites-infinitos-y-limites-al-infinito.pdf

5 páginas

beberes-sobre-limites-al-infinito.pdf

4 páginas

asintotas-de-una-funcion.pdf

16 páginas

tarea-5-limite-de-una-funcion.pdf

2 páginas

pdf-guia-de-trabajo-limite-de-una-funcion.pdf

2 páginas

pdf-limite-de-una-funcion-taller.pdf

2 páginas

limites-de-una-funcion-matematicas.pdf

5 páginas

pdf-limite-de-una-funcion-2.pdf

3 páginas

ejercicios-resueltos-de-calculo-de-derivadas.pdf

7 páginas

derivadas-regla-de-la-cadena-ejercicios-resueltos.pdf

3 páginas

resueltos-trigonometria-derivadas-trigonometricas.pdf

17 páginas

ejercicios-resueltos-de-derivadas-2.pdf

14 páginas

derivadas-combinadas.pdf

4 páginas

ejercicios-resueltos-de-derivadas.pdf

3 páginas

ejercicios-resueltos-de-operadores.pdf

15 páginas

derivadas-direccionales.pdf

6 páginas

derivadas-trigonometricas.pdf

6 páginas

ejercicios-resuelto-de-derivadas.pdf

10 páginas

derivadas-de-funciones-nocion-de-derivada-de-una-funcion-en-un-punto.pdf

18 páginas

numeros-reales-guia-pdf.pdf

8 páginas

numeros-reales-temas.pdf

1 página

numeros-reales-ejemplos.pdf

2 páginas

valor-absoluto-taller-2.pdf

5 páginas

actividad-limites-infinitos.pdf

1 página

numeros-reales-ejemplos-basicos.pdf

6 páginas

limites-al-infinito-y-asintotas-horizontales.pdf

7 páginas

numeros-reales-teoria-2.pdf

7 páginas

limites-infinitos-practica.pdf

16 páginas

limites-practica-4.pdf

12 páginas

limites-laterales-al-infinito.pdf

13 páginas

funcion-valor-absoluto.pdf

3 páginas

limites-infinitos.pdf

14 páginas

valor-absoluto-y-sus-propiedades.pdf

3 páginas

actividad-6-limites-infinito.pdf

8 páginas

inecuaciones-con-valor-absoluto-taller.pdf

12 páginas

ecuaciones-e-inecuaciones-con-valor-absoluto.pdf

10 páginas

valor-absoluto-taller.pdf

15 páginas

3-valor-absoluto.pdf

7 páginas

ecuaciones-con-valor-absoluto.pdf

2 páginas

limites-infinitos-y-limites-al-infinito-1.pdf

13 páginas

limites-al-infinito-1.pdf

2 páginas

2-limites-infinitos-limites-en-el-infinito-asintotas.pdf

1 página

limites-infinitos-unidad-1.pdf

7 páginas

5-limites-infinitos.pdf

23 páginas

tarea-2-2-6-limites-infinitos.pdf

7 páginas

limites-y-continuidad.pdf

13 páginas

actividad-4-limites-infinitos.pdf

7 páginas

inecuaciones-con-valor-absoluto.pdf

1 página

limites-infinitos-y-limites-al-infinito.pdf

11 páginas

numeros-reales.pdf

4 páginas

teoria-de-numeros-reales.pdf

24 páginas

numeros-reales-unidad-2.pdf

43 páginas

propiedades-de-los-numeros-reales.pdf

3 páginas

unidad-1-numeros-reales.pdf

19 páginas

numeros-reales-y-desigualdades.pdf

12 páginas

representacion-de-los-numeros-reales.pdf

72 páginas

numeros-reales-deber-1.pdf

23 páginas

numeros-reales-ejercicios.pdf

2 páginas

content_copy

Archivos recomendados