chevron_left
chevron_right
Todo
Apuntes
Ejercicios
Exámenes
Otros
publication
Test
Trabajos
chevron_left
chevron_right

He publicado nuevos apuntes de 2º Cálculo Diferencial: Teoria-Completa-Calculo-Diferencial.pdf

20 páginas

apuntes

-

(CD) Resúmenes (2024-25)

He publicado nuevos apuntes de 2º Cálculo Diferencial: (CD) Resúmenes (2024-25)

Capitulos-1-3.-Topologia-en-Rn.-Geometria-y-calculo-en-varias-variables.pdf
Capitulos-4-5.-Derivadas-de-orden-superior.-Teorema-de-la-funcion-inversa-y-de-la-funcion-implicita.pdf

He publicado nuevos apuntes de 2º Cálculo Diferencial: Tema-5-Diferenciabilidad.pdf

6 páginas

He publicado nuevos apuntes de 2º Cálculo Diferencial: Tema-4-Continuidad-y-Continuidad-Uniforme.pdf

4 páginas

He publicado nuevos apuntes de 2º Cálculo Diferencial: Tema-3-Limites-de-funciones-en-Rm.pdf

8 páginas

He publicado nuevos apuntes de 2º Cálculo Diferencial: Tema-2-Sucesiones.pdf

4 páginas

He publicado nuevos apuntes de 2º Cálculo Diferencial: Tema-1-Topologia-De-Rn.pdf

5 páginas

Resumen de todas las DEF, PROP, TEOREMAS y CONCEPTOS importantes

7 páginas

examenes

-

Exámenes resueltos

He publicado nuevos examenes de 2º Cálculo Diferencial: Exámenes resueltos

Ejercicios-de-examen.pdf

ejercicios

-

Ejercicios

He publicado nuevos ejercicios de 2º Cálculo Diferencial: Ejercicios

Tema-1-El-espacio-euclideo-Rnpagenumber.pdf
Tema-2-Funciones.-Limites-y-continuidadpagenumber.pdf
Tema-3-Derivacion-parcial-y-direccionalpagenumber-1.pdf
Tema-4-Diferenciacionpagenumber.pdf
Tema-5-Funciones-inversas-e-implicitas.-Transformacionespagenumber.pdf
Tema-6-Extremos-librespagenumber.pdf

ejercicios

-

Problemas resueltos

He publicado nuevos ejercicios de 2º Cálculo Diferencial: Problemas resueltos

Problemas-corregidos.pdf
Problemas-corregidos2.pdf

Parcial Noviembre 2017 resuelto.

5 páginas

Examen resuelto de Convocatoria extraordinaria.

13 páginas

He publicado nuevos apuntes de 2º Cálculo Diferencial: Demostraciones-examen-final.pdf

7 páginas

examenes

-

Exámenes resueltos Cálculo diferencial

He publicado nuevos examenes de 2º Cálculo Diferencial: Exámenes resueltos Cálculo diferencial

Septiembre-2015-Fernando-Cobos-Diaz-Resuelto.pdf
CD-Soria-Test-1124-Resuelto.pdf
Febrero-2015-Fernando-Cobos-Diaz-Resuelto.pdf
2024eneroCDSoria-Resuelto.pdf
Test-parcial-Jose-Gonzalez-Llorente.pdf
2022junioCDSoria-Resuelto.pdf

He publicado nuevos ejercicios de 2º Cálculo Diferencial: Problemas-corregidos.pdf

61 páginas

examenes

-

Exámenes resueltos

Exámenes resueltos de Palazuelos, Soria, Jaramillo y María Socorro

Examen-Febrero-2021.-Algunos-ejercicios-Palazuelos.pdf
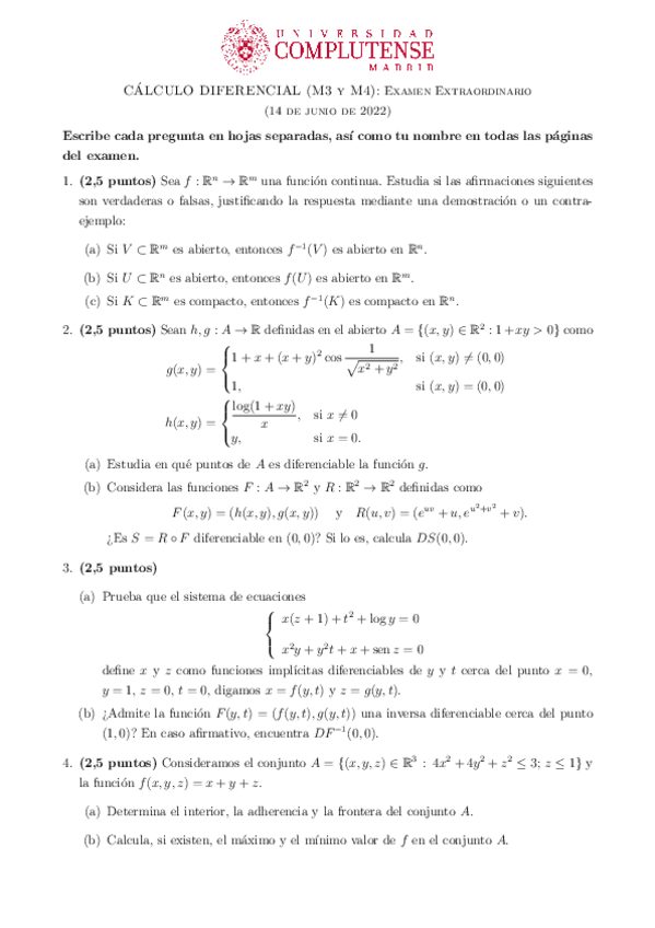
Examen-Junio-2022.-Soria.pdf
Examen-Jaramillo-2023.pdf
Examen-Enero-2023.pdf
Examen-Junio-2023.-Carlos-Palazuelos.pdf
Examen-Julio-2021.-Carlos-Palazuelos.pdf

apuntes

-

Apuntes por temas Cálculo diferencial. Palazuelos

He publicado nuevos apuntes de 2º Cálculo Diferencial: Apuntes por temas Cálculo diferencial. Palazuelos

Tema-3.pdf
Tema-5.pdf
Tema-1.pdf
Tema-2.pdf
Tema-4.pdf
Tema-6.pdf

He publicado nuevos apuntes de 2º Cálculo Diferencial: resumen-TODO-esencial-CD.pdf

7 páginas

ejercicios

-

Hojas de ejercicios resueltas. Carlos Palazuelos

He publicado nuevos ejercicios de 2º Cálculo Diferencial: Hojas de ejercicios resueltas. Carlos Palazuelos

Hoja-4.-Carlos-Palazuelos.pdf
Hoja-5.-Carlos-Palazuelos.pdf
Hoja-2.-Carlos-Palazuelos.pdf
Hoja-6.-Carlos-Palazuelos.pdf
Hoja-3.-Carlos-Palazuelos.pdf
Hoja-1.-Carlos-Palazuelos.pdf

apuntes

-

Apuntes COMPLETOS Cálculo diferencial José González Llorente

He publicado nuevos apuntes de 2º Cálculo Diferencial: Apuntes COMPLETOS Cálculo diferencial José González Llorente

Capitulo-2.-Calculo-diferencial-en-varias-variables.pdf
Capitulo-3.-Teoremas-de-la-funcion-inversa-e-implicita.pdf
Capitulo-1.-Geometria-y-topologia-en-IRn.pdf

He publicado nuevos apuntes de 2º Cálculo Diferencial: Calculo-diferencial.pdf

117 páginas

He publicado nuevos apuntes de 2º Cálculo Diferencial: Teoremas-y-demostraciones-examen-CD.pdf

12 páginas

He publicado nuevos apuntes de 2º Cálculo Diferencial: Examen-2025-Enero-CD-T2-Maria-del-Mar.pdf

1 página

He publicado nuevos apuntes de 2º Cálculo Diferencial: Hoja-11-CD-Maria-del-Mar.pdf

6 páginas

He publicado nuevos apuntes de 2º Cálculo Diferencial: Hoja-10-CD-Maria-del-Mar.pdf

9 páginas

He publicado nuevos apuntes de 2º Cálculo Diferencial: Hoja-9-CD-Maria-del-Mar.pdf

6 páginas

He publicado nuevos apuntes de 2º Cálculo Diferencial: Hoja-8-CD-Maria-del-Mar.pdf

10 páginas

He publicado nuevos apuntes de 2º Cálculo Diferencial: Hoja-7-CD-Maria-del-Mar.pdf

9 páginas

He publicado nuevos apuntes de 2º Cálculo Diferencial: Hoja-6-CD-Maria-del-Mar.pdf

3 páginas

He publicado nuevos apuntes de 2º Cálculo Diferencial: Hoja-5-CD-Maria-del-Mar.pdf

13 páginas

He publicado nuevos apuntes de 2º Cálculo Diferencial: Hoja-4-CD-Maria-del-Mar.pdf

7 páginas

He publicado nuevos apuntes de 2º Cálculo Diferencial: Hoja-3-CD-Maria-del-Mar.pdf

8 páginas

He publicado nuevos apuntes de 2º Cálculo Diferencial: Resumen-topologia.pdf

1 página

ejercicios

-

Ejercicios Cobos resueltos CD

He publicado nuevos ejercicios de 2º Cálculo Diferencial: Ejercicios Cobos resueltos CD

Hoja-1-Cobos-Resuelta.pdf
Hoja-2-Cobos-Resuelta.pdf
Hoja-3-Cobos-Resuelta.pdf
Hoja-4-Cobos-Resuelta.pdf
Hoja-5-Cobos-Resuelta.pdf
Hoja-6-Cobos-Resuelta.pdf

He publicado nuevos examenes de 2º Cálculo Diferencial: examenCDEnero2025Mendoza.pdf

2 páginas

examenes

-

CD Exámenes Soria/Carro

He publicado nuevos examenes de 2º Cálculo Diferencial: CD Exámenes Soria/Carro

CD-Carro-Test-2023-Noviembre.pdf
CD-Soria-Test-1124.pdf
CD-Soria-0624.pdf
CD-Soria-0124.pdf
CD-Soria-0622.pdf
CD-Soria-0623.pdf

ejercicios

-

Hojas de ejercicios resueltas Soria

He publicado nuevos ejercicios de 2º Cálculo Diferencial: Hojas de ejercicios resueltas Soria

Hoja 4 - Limites y continuidad.pdf
Hoja 5 - Cálculo diferencial .pdf
Hoja 6 - Función Inversa, Implícita y Mult. Lagrange.pdf

examenes

-

CD_ExamanesResueltos_MarJiménez

He publicado nuevos examenes de 2º Cálculo Diferencial: CD_ExamanesResueltos_MarJiménez

Miniatura no disponible
CDEnero2020.pdf
Miniatura no disponible
CDEnero2024.pdf
CDJulio2023.pdf

He publicado nuevos apuntes de 2º Cálculo Diferencial: CDDemostracionesMarJimenez.pdf

Miniatura no disponible
12 páginas

ejercicios

-

Ejercicios resueltos

He publicado nuevos ejercicios de 2º Cálculo Diferencial: Ejercicios resueltos

Hoja-1 (actualizada).pdf
Hoja-2 (actualizada).pdf
Hoja-3 (actualizada).pdf
Hoja-4.pdf
Hoja-5.pdf
Hoja-6.pdf

ejercicios

-

CD - Ejercicios Javier Soria

He publicado nuevos ejercicios de 2º Cálculo Diferencial: CD - Ejercicios Javier Soria

CD - Soria - 1.pdf
CD-Soria-2.pdf
CD-Soria-3.pdf
CD-Soria-4.pdf
CD-Soria-5.pdf
CD-Soria-6.pdf

He publicado nuevos examenes de 2º Cálculo Diferencial: Examen-modelo-CD-Cobos.pdf

5 páginas

Una solución de la entrega del TML sin usar TML

6 páginas

He publicado nuevos apuntes de 2º Cálculo Diferencial: Esquema Tema 5.pdf

2 páginas

apuntes

-

Tema 6 - Tª función inversa, implícita y multiplicadores de Lagrange

Apuntes y esquema

Esquema-ta-funcion-inversa-implicita-y-multiplicadores-de-Lagrange.pdf
Ta-Funcion-Inversa-Implicita-y-Multiplicadores-de-Lagrange.pdf

apuntes

-

Tema 5 - Cálculo diferencial

He publicado nuevos apuntes de 2º Cálculo Diferencial: Tema 5 - Cálculo diferencial

Esquema-calculo-diferencial.pdf
Calculo-diferencial.pdf

He publicado nuevos apuntes de 2º Cálculo Diferencial: Teoria-Calculo-T2-María del Mar.pdf

5 páginas

He publicado nuevos apuntes de 2º Cálculo Diferencial: Tema 6. Teoremas.pdf

17 páginas

He publicado nuevos apuntes de 2º Cálculo Diferencial: Preguntas-teoria-Cobos-CD.pdf

17 páginas

He publicado nuevos apuntes de 2º Cálculo Diferencial: Tema 5. Diferenciabilidad.pdf

20 páginas
Anónimo

@Anónimo

conceptos topológicos, sucesiones y límites, conexos y cont. uniforme

2 páginas

He publicado nuevos examenes de 2º Cálculo Diferencial: Examen-Parcial-11112024.pdf

3 páginas

ejercicios

-

CD - Ejercicios Carlos Palazuelos

He publicado nuevos ejercicios de 2º Cálculo Diferencial: CD - Ejercicios Carlos Palazuelos

CD-Palazuelos-1.pdf
CD-Palazuelos-2.pdf
CD-Palazuelos-3.pdf

He publicado nuevos ejercicios de 2º Cálculo Diferencial: Lista-Problemas-Calculo-Diferencial.pdf

8 páginas

He publicado nuevos apuntes de 2º Cálculo Diferencial: Esquema-T4.pdf

2 páginas

He publicado nuevos apuntes de 2º Cálculo Diferencial: Esquema-T3.pdf

2 páginas

He publicado nuevos apuntes de 2º Cálculo Diferencial: Esquema-T1-T2.pdf

3 páginas

apuntes

-

Tema 3 - Sucesiones en espacios métricos

Apuntes y esquema

Esquema-sucesiones-en-espacios-metricos.pdf
Sucesiones-en-espacios-metricos.pdf

apuntes

-

Tema 4 - Límites y continuidad

Apuntes y esquema

Esquema-limites-y-continuidad.pdf
Limites-y-continuidad.pdf