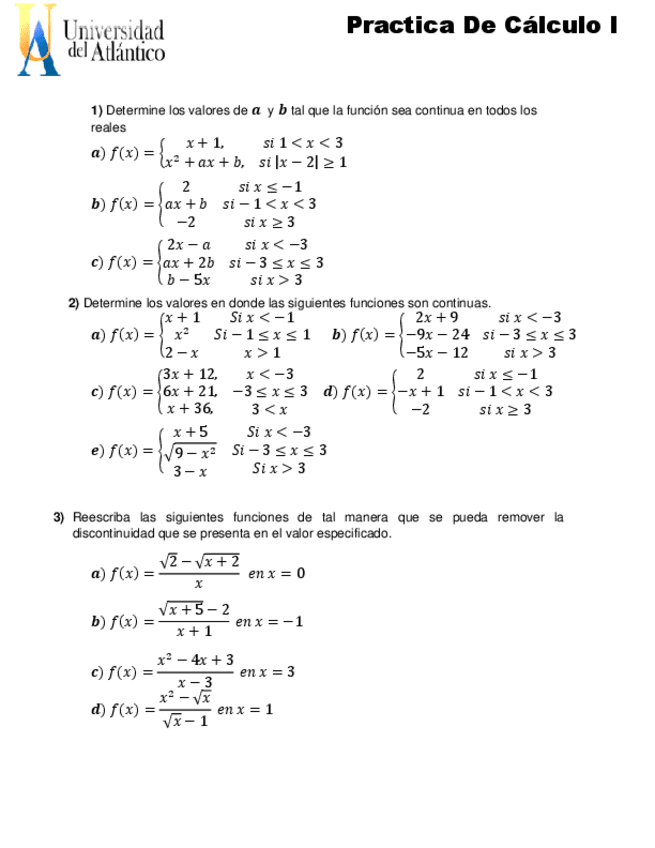
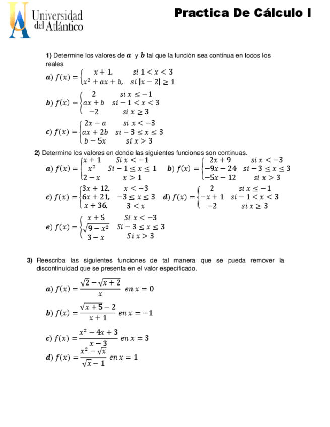
Practica-de-continuidad.pdf

ANGIEVANEESA

calculo 1

9 archivos·

clasificacion-de-funciones.pdf

5 páginas

tipos-de-funciones.pdf

4 páginas

limite.pdf

3 páginas

DEFINICION-DE-LIMITE.pdf

1 página

Practica-de-limite-.pdf

1 página

FUNCIONES-REALES-DE-UNA-VARIABLE-REAL.pdf

8 páginas

LIMITES-DE-UNA-FUNCIONES.pdf

5 páginas

Practica-de-continuidad.pdf

1 página

CONTINUIDAD-DE-UNA-FUNCION-1.pdf

3 páginas

content_copy

Archivos recomendados