Arthur_Morgan
Ejercicios Hojas resueltos
4.- Sucesiones y series numericas
8 páginas
6.- Series de Fourier
11 páginas
3.- Ecuaciones Diferenciales Ordinarias
15 páginas
5.- Series de potencias
10 páginas
1.- Funciones reales de una variable
2.- Integrales
5 páginas
Apuntes - CALCULO-I-COMPLETO.pdf
pdf
52 páginas
182
1
Apuntes - Tema 4. Series y sucesiones numéricas.pdf
16 páginas
17
Apuntes - Tema 2. Integrales.pdf
16
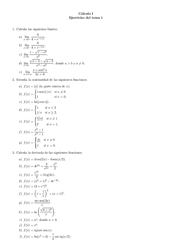
Apuntes - Tema1-Calculo.pdf
7 páginas
70
0
Apuntes - 1.- Funciones reales de una variable
6 páginas
78
Apuntes - Ejercicios-resueltos-Tema-3.pdf
65
Apuntes - Tema 1. Derivadas de funciones de una variable real.pdf
13 páginas
21
Ejercicios - 2.- Integrales
60
Ejercicios - 1.- Funciones reales de una variable
71
Apuntes - 3.- Ecuaciones diferenciables Ordinarias
63
Apuntes - examenescalculo.pdf
38 páginas
41
Apuntes - Apuntes.pdf
2
Ejercicios - 4.- Sucesiones y series numericas
44
Apuntes - Tema 3 Ecuaciones-Diferenciales.pdf
Apuntes - Tema-4-Calculo-I.pdf
53
Ejercicios - 5.- Series de potencias
39
Apuntes - Tema-5-Ejercicios-resueltos.pdf
4 páginas
Apuntes - Tema 1 Derivadas y ejercicios-extra.pdf
9 páginas
48
Apuntes - Formulas-integrales.pdf
3 páginas
Exámenes - Primer-Examen-Parcial-2019-2020.pdf
32