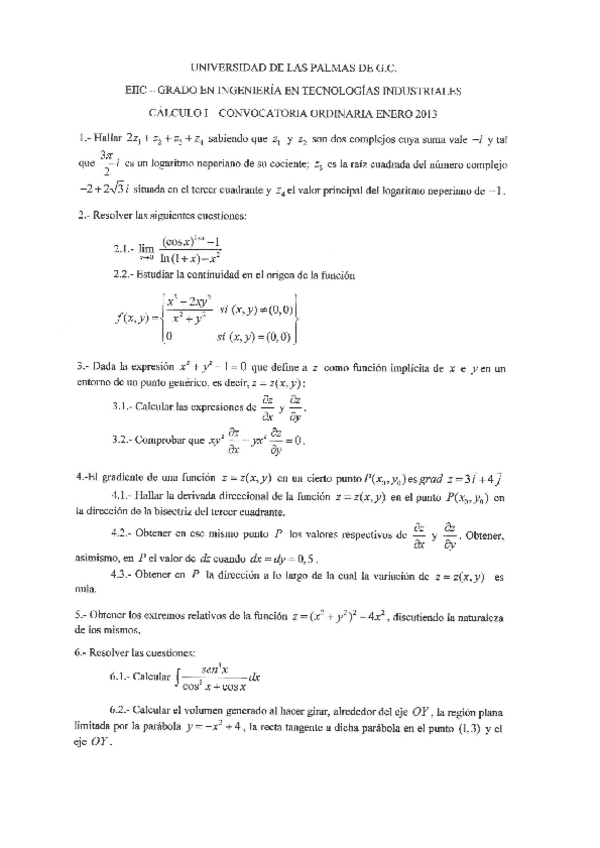
Examen-Calculo-I-Tecn.pdf

porron

examenes

17 archivos·

Examen-Calculo-I-Industriales-Enero-2014-resuelto.pdf

14 páginas

Examen-Calculo-I-Junio-2014-resuelto.pdf

12 páginas

Examen-Calculo-I-EIIC-Diciembre-2013-Resuelto.pdf

8 páginas

Examen-Calculo-I-Enero-2017-resuelto.pdf

8 páginas

Examen-Calculo-I-Enero-2015-Resuelto.pdf

13 páginas

Examen-Calculo-I-Junio-2017-resuelto.pdf

7 páginas

Examen-Calculo-I-Enero-2016-resuelto.pdf

11 páginas

Examen-Calculo-I-CorregidoJunio-2012.pdf

7 páginas

Examen-Calculo-I-Junio-2016-resuelto.pdf

9 páginas

Examen-calculo-I-Diciembre-2012-resueltp.pdf

8 páginas

ExamenCalculoI-Diciembre2011resuelto.pdf

6 páginas

Examen-Calculo-I-Junio-2015-resuelto.pdf

11 páginas

Examen-Calculo-I-Tecn.pdf

8 páginas

Examen-Enero-2018-resuelto.pdf

8 páginas

ExamenCalculoI-Febrero2011.pdf

8 páginas

ExamenCalculoI-Julio2011resuelto.pdf

7 páginas

ExamenCalculoI-Febrero2012.pdf

8 páginas

content_copy

Archivos recomendados