luciap1312
Soluciones Fichas
Sheet-5-solutions.pdf
5 páginas
Sheet-4-solutions.pdf
8 páginas
Sheet-2-solutions.pdf
7 páginas
Sheet-3-solutions.pdf
4 páginas
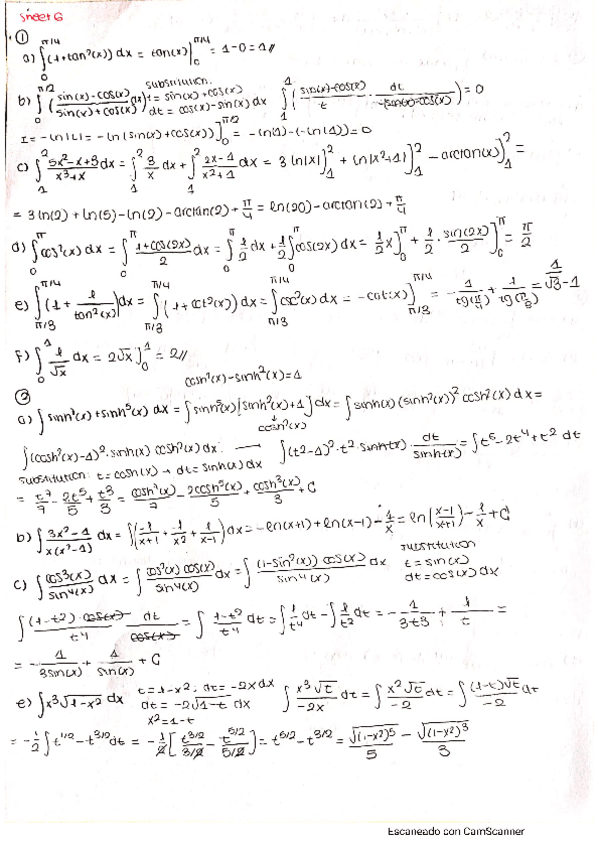
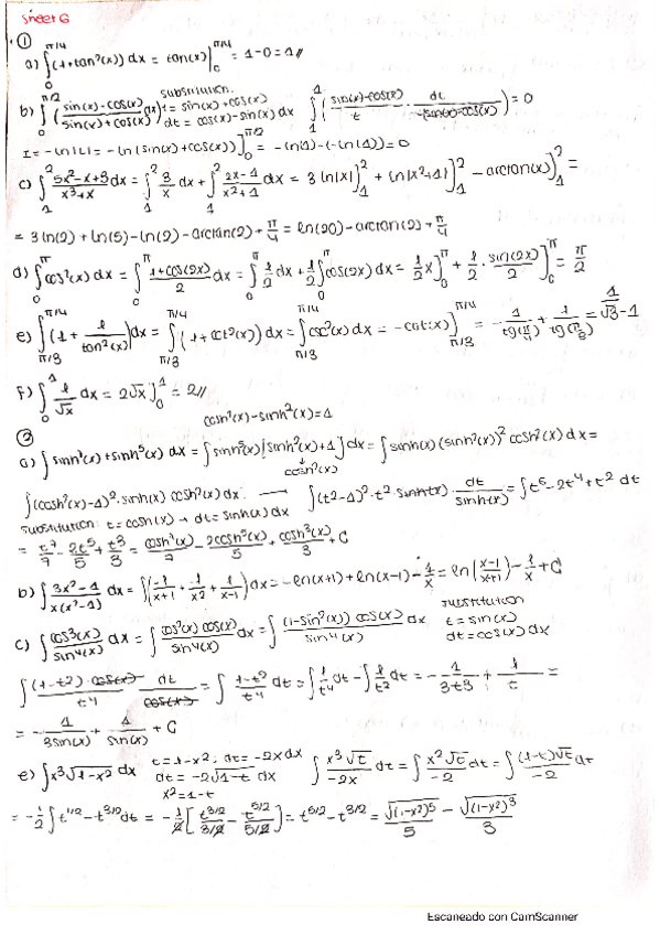
Sheet-6-solutions.pdf
Ejercicios - Sheet-2-solutions.pdf
pdf
212
2
Ejercicios - Sheet-5-solutions.pdf
195
1
Ejercicios - Sheet-4-solutions.pdf
156
0
Ejercicios - Sheet-3-solutions.pdf
133
Ejercicios - Sheet-6-solutions.pdf
144
Apuntes - Calculus-I-notes.pdf
12 páginas
81
Exámenes - Parciales-2018.pdf
72
Ejercicios - Exercise-sheet-6-85percent-solved.pdf
14 páginas
57
Apuntes - resumen-todo-temario-calculo.pdf
13 páginas
38
Ejercicios - Exercise-sheet-2-sols.pdf
10 páginas
65
Ejercicios - Exercise-sheet-1-sols.pdf
Ejercicios - Exercise-sheet-4-sols-2.pdf
53
Exámenes - 1º Parcial 2023-24 con soluciones.pdf
19
Exámenes - Cálc. I.- Biomédica. Junio 2016. Enunc. y Soluc..pdf
3 páginas
35
Ejercicios - Exercise-sheet-5-sols.pdf
Apuntes - Calculus 1.pdf
45 páginas
14
Ejercicios - SHEET-2-Calculus-I.pdf
6 páginas
17
Exámenes - CI-Extra-2017-2018-A-sol-bio.pdf
24
Ejercicios - Exercise-sheet-3-sols.pdf
32
Ejercicios - SHEET-4-Calculus-I.pdf
15