Todo
Apuntes
Preguntas
Ejercicios
Exámenes
Trabajos
chevron_left
chevron_right

examenes

-

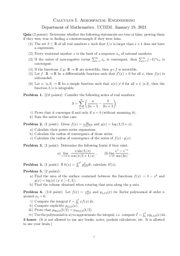
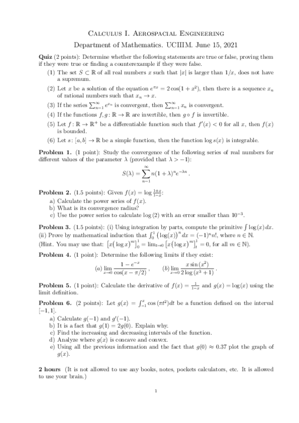
RECOPILACIÓN DE EXAMENES CON SOLUCIÓN

He publicado nuevos examenes de 1º Cálculo I: RECOPILACIÓN DE EXAMENES CON SOLUCIÓN

Final-2018-Biomedica.pdf
Final-2018-Biomedica.pdf
UC3MEXAMS.pdf
UC3MEXAMS.pdf

He publicado nuevos apuntes de 1º Cálculo I: Apuntes.pdf

31 páginas

He publicado nuevos ejercicios de 1º Cálculo I: Ejercicios-resueltos.pdf

62 páginas

Apuntes tema 3(funciones, límites y continuidad)

15 páginas

Apuntes tema 4(diferenciación)

16 páginas

Apuntes tema 5(integración)

8 páginas

Apuntes tema 2(Sucesiones)

14 páginas

Apuntes tema 1(Introducción)

10 páginas

Ánimo chicos!!

2 páginas

Cualquier duda/fallo m decís;)

2 páginas

He publicado nuevos ejercicios de 1º Cálculo I: EjerciciosTema2.pdf

3 páginas

He publicado nuevos examenes de 1º Cálculo I: 2º Parcial 2023-24 con soluciones.pdf

3 páginas

He publicado nuevos examenes de 1º Cálculo I: 1º Parcial 2023-24 con soluciones.pdf

4 páginas

He publicado nuevos ejercicios de 1º Cálculo I: EjerciciosTema1.pdf

3 páginas

apuntes

-

RECENT EXAMS

He publicado nuevos apuntes de 1º Cálculo I: RECENT EXAMS

2017jansolfinalcalI.pdf
2017jansolfinalcalI.pdf
2018jansolfinalcalI.pdf
2018jansolfinalcalI.pdf
2021-01-11-Ordinario-Calculo-I.pdf
2021-01-11-Ordinario-Calculo-I.pdf

He publicado nuevos apuntes de 1º Cálculo I: EXAMSOL-JANUARY-2324.pdf

6 páginas

apuntes

-

EXAMSOLS 23/24- 1ST midterm

He publicado nuevos apuntes de 1º Cálculo I: EXAMSOLS 23/24- 1ST midterm

23-24-Calculo-II-47-1st-partial-2024-03-15-SOLUTIONS.pdf
23-24-Calculo-II-47-1st-partial-2024-03-15-SOLUTIONS.pdf
PARCIAL-1.pdf
PARCIAL-1.pdf
partial145.pdf
partial145.pdf

apuntes

-

EXAMSOLS 23/24- 2n midterm

He publicado nuevos apuntes de 1º Cálculo I: EXAMSOLS 23/24- 2n midterm

CalculusIAero23242ndmidtermExamSolsG45.pdf
CalculusIAero23242ndmidtermExamSolsG45.pdf
CalculusIAero23242ndmidtermExamSolsG46.pdf
CalculusIAero23242ndmidtermExamSolsG46.pdf
CalculusIAero23242ndmidtermExamSolsG47.pdf
CalculusIAero23242ndmidtermExamSolsG47.pdf

apuntes

-

CALCULUS I- ANSWERS CLASS EXERCISES

He publicado nuevos apuntes de 1º Cálculo I: CALCULUS I- ANSWERS CLASS EXERCISES

Unit1Exercises.pdf
Unit1Exercises.pdf
Unit1Solutions.pdf
Unit1Solutions.pdf
Unit2Exercises.pdf
Unit2Exercises.pdf

He publicado nuevos apuntes de 1º Cálculo I: CALCULO-1-Triptico.pdf

2 páginas

apuntes

-

LIBROS

He publicado nuevos apuntes de 1º Cálculo I: LIBROS

Apostol-CALCULUS-VOLUME-1-One-Variable-Calculus-with-an-Introduction-to-Linear-Algebra.pdf
Apostol-CALCULUS-VOLUME-1-One-Variable-Calculus-with-an-Introduction-to-Linear-Algebra.pdf
LIBRO-DE-CUESTA.pdf
LIBRO-DE-CUESTA.pdf
UC3M-CALCULUS.-BIVENS.-10th-edition-SOLUTIONS-1.pdf
UC3M-CALCULUS.-BIVENS.-10th-edition-SOLUTIONS-1.pdf

He publicado nuevos ejercicios de 1º Cálculo I: All-Calculus-I-Biomedical-Exercises.pdf

91 páginas

He publicado nuevos ejercicios de 1º Cálculo I: Integrales-Problemas-8-13.pdf

7 páginas

He publicado nuevos apuntes de 1º Cálculo I: Apuntes-y-ejercicios-Calculo-I-Academia.pdf

38 páginas

He publicado nuevos apuntes de 1º Cálculo I: Capitulo-9.pdf

68 páginas

He publicado nuevos apuntes de 1º Cálculo I: capitulo-6.pdf

36 páginas

He publicado nuevos apuntes de 1º Cálculo I: capitulo-5.pdf

41 páginas

He publicado nuevos apuntes de 1º Cálculo I: tablas-de-integracion.pdf

6 páginas

examenes

-

EXÁMENES RESUELTOS Y EXPLICADOS

He publicado nuevos examenes de 1º Cálculo I: EXÁMENES RESUELTOS Y EXPLICADOS

Parciales-2018.pdf
Parciales-2018.pdf
Final-2018-Biomedica.pdf
Final-2018-Biomedica.pdf
Junio-2018.pdf
Junio-2018.pdf

ejercicios

-

EJERCICIOS RESUELTOS Y EXPLICADOS

He publicado nuevos ejercicios de 1º Cálculo I: EJERCICIOS RESUELTOS Y EXPLICADOS

Ejercicios-Secuencias-paso-por-paso.pdf
Ejercicios-Secuencias-paso-por-paso.pdf
Ejercicios-Limites-de-funciones.pdf
Ejercicios-Limites-de-funciones.pdf
Ejercicios-Derivabilidad-y-problemas-Optimizacion.pdf
Ejercicios-Derivabilidad-y-problemas-Optimizacion.pdf

He publicado nuevos apuntes de 1º Cálculo I: CALCULO.pdf

14 páginas

He publicado nuevos apuntes de 1º Cálculo I: Ejercicios-repaso-completo-aca.pdf

80 páginas

He publicado nuevos apuntes de 1º Cálculo I: Calculo-I-ejercicios-AG-completos.pdf

47 páginas

He publicado nuevos apuntes de 1º Cálculo I: Apuntes-Calculo-I-completos.pdf

36 páginas

He publicado nuevos apuntes de 1º Cálculo I: Apuntes-Calculo-I-Aca-Completos.pdf

120 páginas

apuntes

-

Apuntes teoría por temas (ing)

He publicado nuevos apuntes de 1º Cálculo I: Apuntes teoría por temas (ing)

1-Numbers.pdf
1-Numbers.pdf
5-Functions.pdf
5-Functions.pdf
8-Taylor-Expansions.pdf
8-Taylor-Expansions.pdf

apuntes

-

Apuntes por temas AG

He publicado nuevos apuntes de 1º Cálculo I: Apuntes por temas AG

3-Limites-y-funciones-continuas.pdf
3-Limites-y-funciones-continuas.pdf
1-Numeros-reales-y-pruebas.pdf
1-Numeros-reales-y-pruebas.pdf
2-Series-y-secuencias.pdf
2-Series-y-secuencias.pdf

apuntes

-

Ejercicios por tema academia

He publicado nuevos apuntes de 1º Cálculo I: Ejercicios por tema academia

3-Series.pdf
3-Series.pdf
2-Pruebas.pdf
2-Pruebas.pdf
5-Integrales.pdf
5-Integrales.pdf

apuntes

-

Apuntes academia por temas

He publicado nuevos apuntes de 1º Cálculo I: Apuntes academia por temas

2-Pruebas.pdf
2-Pruebas.pdf
8-Integrales.pdf
8-Integrales.pdf
4-Sucesiones.pdf
4-Sucesiones.pdf
Anónimo

@Anónimo

He publicado nuevos ejercicios de 1º Cálculo I: Bloc-de-notas-sin-titulo-1-2.pdf

41 páginas

He publicado nuevos apuntes de 1º Cálculo I: Teoria-Calculus-I.pdf

15 páginas
Anónimo

@Anónimo

apuntes

-

APUNTES CON EJERCICIOS RESUELTOS

He publicado nuevos apuntes de 1º Cálculo I: APUNTES CON EJERCICIOS RESUELTOS

EJERCICIOS-EXTRA.pdf
EJERCICIOS-EXTRA.pdf

He publicado nuevos ejercicios de 1º Cálculo I: ejscalculo.pdf

65 páginas

He publicado nuevos apuntes de 1º Cálculo I: notes-Aero-Calculus-I19-20.pdf

6 páginas

He publicado nuevos apuntes de 1º Cálculo I: Tablas-y-Formulas.pdf

16 páginas

He publicado nuevos apuntes de 1º Cálculo I: calculus-1.pdf

18 páginas

Ejercicios clase

Se agradecerían los ejercicios hechos/corregidos en clase Pd: @Luciaa08 confiamos en ti, eres nuestra salvadora

apuntes

-

Resúmenes completos de teoría

He publicado nuevos apuntes de 1º Cálculo I: Resúmenes completos de teoría

tema-45--ejemplos.pdf
tema-45--ejemplos.pdf
Tema-123--ejemplos.pdf
Tema-123--ejemplos.pdf

He publicado nuevos apuntes de 1º Cálculo I: APUNTES-INDUCCION.pdf

1 página

He publicado nuevos apuntes de 1º Cálculo I: RESUMEN-DE-CALCULO.pdf

13 páginas

examenes

-

EJER LIMITES + SOLUCIONES

He publicado nuevos examenes de 1º Cálculo I: EJER LIMITES + SOLUCIONES

EJERCICIOS-DE-LIMITES.pdf
EJERCICIOS-DE-LIMITES.pdf
EJERCICIOS-DE-LIMITES-SOLUCIONES.pdf
EJERCICIOS-DE-LIMITES-SOLUCIONES.pdf

examenes

-

Exámenes resueltos CÁLCULO US.

Ejercicios de exámen resueltos.

Ejercicios.-Examenes-anteriores.pdf
Ejercicios.-Examenes-anteriores.pdf
Preguntas-Test.-Examenes-anteriores.pdf
Preguntas-Test.-Examenes-anteriores.pdf
apuntescalculowuolahdleccion1.pdf
apuntescalculowuolahdleccion1.pdf

He publicado nuevos apuntes de 1º Cálculo I: Repaso-Integrales.pdf

10 páginas

apuntes

-

Teoría CÁLCULO US

He publicado nuevos apuntes de 1º Cálculo I: Teoría CÁLCULO US

1.-matematicas-ii.-leccion-1.pdf
1.-matematicas-ii.-leccion-1.pdf
2.-matematicas-ii.-leccion-2.pdf
2.-matematicas-ii.-leccion-2.pdf
3.-matematicas-ii.-leccion-3.pdf
3.-matematicas-ii.-leccion-3.pdf

apuntes

-

Me_Llamo_Earl-CalculoI

He publicado nuevos apuntes de 1º Cálculo I: Me_Llamo_Earl-CalculoI

Parametrizacion-de-curvas.pdf
Parametrizacion-de-curvas.pdf
Examenes-Calculo-1part1.pdf
Examenes-Calculo-1part1.pdf
Libro-de-integrales-resueltas.pdf
Libro-de-integrales-resueltas.pdf