Todo
Apuntes
Ejercicios
Exámenes
PEC
chevron_left
chevron_right

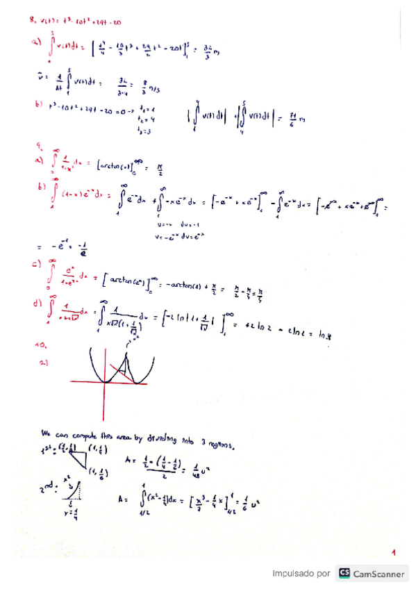
He publicado nuevos apuntes de 1º Cálculo I: Enunciado-2o-Parcial-Electronica-2024.jpeg

Imagen

Resuemen Calculo I: Temario: 1.- Inecuaciones e Inducción; 2.- Sucesiones; 3.- Series; 4.- Funciones; 5.- Derivadas; 6.- Taylor; 7.- Integrales; 8.- Geometria

8 páginas

He publicado nuevos examenes de 1º Cálculo I: solucionprueba4.pdf

3 páginas

He publicado nuevos examenes de 1º Cálculo I: solucionprueba2.pdf

6 páginas

He publicado nuevos examenes de 1º Cálculo I: solucionprueba3.pdf

4 páginas

He publicado nuevos examenes de 1º Cálculo I: solucionprueba1.pdf

3 páginas

He publicado nuevos ejercicios de 1º Cálculo I: Problemas-CI-GITT-2425-sol.pdf

43 páginas

He publicado nuevos examenes de 1º Cálculo I: prueba4.pdf

2 páginas

He publicado nuevos examenes de 1º Cálculo I: prueba3.pdf

2 páginas

He publicado nuevos examenes de 1º Cálculo I: prueba2.pdf

3 páginas

He publicado nuevos ejercicios de 1º Cálculo I: Problems-GITT-Eng-2425-sol-T2.pdf

12 páginas

He publicado nuevos examenes de 1º Cálculo I: prueba1.pdf

2 páginas

He publicado nuevos ejercicios de 1º Cálculo I: Problems-GITT-Eng-2425.pdf

31 páginas

He publicado nuevos examenes de 1º Cálculo I: 1º Parcial 2023-24 con soluciones.pdf

2 páginas

He publicado nuevos examenes de 1º Cálculo I: 2º Parcial 2023-24 con soluciones.pdf

4 páginas

He publicado nuevos examenes de 1º Cálculo I: Final 2023-24 con soluciones.pdf

5 páginas

examenes

-

Exámenes 2023-2024 Con Solución

He publicado nuevos examenes de 1º Cálculo I: Exámenes 2023-2024 Con Solución

1o-parcial-2023-24.pdf
1o-parcial-2023-24.pdf
1o-parcial-2023-24.pdf
2o-parcial-2023-24.pdf
2o-parcial-2023-24.pdf
2o-parcial-2023-24.pdf

He publicado nuevos examenes de 1º Cálculo I: 2º parcial 2023-24 con soluciones.pdf

3 páginas

He publicado nuevos examenes de 1º Cálculo I: 1º parcial 2023-24 con soluciones.pdf

4 páginas

apuntes

-

Apuntes y Teoría

He publicado nuevos apuntes de 1º Cálculo I: Apuntes y Teoría

apuntes-calculoI-GITT-2324.pdf
apuntes-calculoI-GITT-2324.pdf
apuntes-calculoI-GITT-2324.pdf

ejercicios

-

Problemas y Soluciones Cálculo I

He publicado nuevos ejercicios de 1º Cálculo I: Problemas y Soluciones Cálculo I

Problemas-GITT-2324ENUNCIADOS.pdf
Problemas-GITT-2324ENUNCIADOS.pdf
Problemas-GITT-2324ENUNCIADOS.pdf
Problemas-GITT-2324-SOLUCIONES.pdf
Problemas-GITT-2324-SOLUCIONES.pdf
Problemas-GITT-2324-SOLUCIONES.pdf

He publicado nuevos examenes de 1º Cálculo I: Final-Teleco-2023/2024.pdf

2 páginas

He publicado nuevos apuntes de 1º Cálculo I: Segundoparcialteleco-2023/2024.pdf

1 página

He publicado nuevos examenes de 1º Cálculo I: Primer-parcial-2023/2024.pdf

1 página

He publicado nuevos apuntes de 1º Cálculo I: Calculo-I-24-25-series.pdf

14 páginas

He publicado nuevos apuntes de 1º Cálculo I: All-Theory.pdf

16 páginas

examenes

-

Second Midterm 2024

He publicado nuevos examenes de 1º Cálculo I: Second Midterm 2024

Second-midterm-1.jpg
Second-midterm-1.jpg
Second-midterm-1.jpg
Second-midterm-2.jpg
Second-midterm-2.jpg
Second-midterm-2.jpg

apuntes

-

calculo I

He publicado nuevos apuntes de 1º Cálculo I: calculo I

derivadas.pdf
derivadas.pdf
derivadas.pdf
funciones.pdf
funciones.pdf
funciones.pdf

apuntes

-

Calculo I

He publicado nuevos apuntes de 1º Cálculo I: Calculo I

I.-FUNCIONES.pdf
I.-FUNCIONES.pdf
I.-FUNCIONES.pdf
III.-SECUENCIAS.pdf
III.-SECUENCIAS.pdf
III.-SECUENCIAS.pdf
Anónimo

@Anónimo

He publicado nuevos pec de 1º Cálculo I: CalculoITelecomunicacion.pdf

2 páginas

He publicado nuevos apuntes de 1º Cálculo I: Resumen-temario-completo.pdf

14 páginas

He publicado nuevos examenes de 1º Cálculo I: EXAMEN-ENERO-2223.pdf

4 páginas

He publicado nuevos apuntes de 1º Cálculo I: Chuletario-Calculo-1.pdf

4 páginas

He publicado nuevos examenes de 1º Cálculo I: ExamenOrdinario-TelComSon-Res-3.pdf

5 páginas

He publicado nuevos apuntes de 1º Cálculo I: estudio-funciones.pdf

12 páginas

He publicado nuevos examenes de 1º Cálculo I: Examenes2021.pdf

90 páginas
Anónimo

@Anónimo

examenes

-

pruebas

He publicado nuevos examenes de 1º Cálculo I: pruebas

Apuntes-CIII-tema4-1.pdf
Apuntes-CIII-tema4-1.pdf
Apuntes-CIII-tema4-1.pdf
Apuntes-CIII-tema5-1.pdf
Apuntes-CIII-tema5-1.pdf
Apuntes-CIII-tema5-1.pdf

He publicado nuevos ejercicios de 1º Cálculo I: Integrales-Problemas-8-13.pdf

7 páginas

He publicado nuevos apuntes de 1º Cálculo I: Teoremas.pdf

5 páginas

He publicado nuevos apuntes de 1º Cálculo I: FORMULARIO IMPORTANTE CALCULO I.pdf

7 páginas

He publicado nuevos apuntes de 1º Cálculo I: fucnes.pdf

pdf

examenes

-

EXÁMENES RESUELTOS Y EXPLICADOS

He publicado nuevos examenes de 1º Cálculo I: EXÁMENES RESUELTOS Y EXPLICADOS

FINALES-2018-Corregidos-Y-Explicados.pdf
FINALES-2018-Corregidos-Y-Explicados.pdf
FINALES-2018-Corregidos-Y-Explicados.pdf
Junio-2018.pdf
Junio-2018.pdf
Junio-2018.pdf

ejercicios

-

EJERCICIOS RESUELTOS Y EXPLICADOS

He publicado nuevos ejercicios de 1º Cálculo I: EJERCICIOS RESUELTOS Y EXPLICADOS

Ejercicios-Secuencias-paso-por-paso.pdf
Ejercicios-Secuencias-paso-por-paso.pdf
Ejercicios-Secuencias-paso-por-paso.pdf
Ejercicios-Limites-de-funciones.pdf
Ejercicios-Limites-de-funciones.pdf
Ejercicios-Limites-de-funciones.pdf

He publicado nuevos apuntes de 1º Cálculo I: Ejercicios-repaso-completo-aca.pdf

80 páginas

He publicado nuevos apuntes de 1º Cálculo I: Calculo-I-ejercicios-AG-completos.pdf

47 páginas

He publicado nuevos apuntes de 1º Cálculo I: Apuntes-Calculo-I-completos.pdf

36 páginas

He publicado nuevos apuntes de 1º Cálculo I: Apuntes-Calculo-I-Aca-Completos.pdf

120 páginas

apuntes

-

Teoria completa por temas (ing)

He publicado nuevos apuntes de 1º Cálculo I: Teoria completa por temas (ing)

1-Numbers.pdf
1-Numbers.pdf
1-Numbers.pdf
4-Series.pdf
4-Series.pdf
4-Series.pdf

apuntes

-

Ejercicios por tema AG

He publicado nuevos apuntes de 1º Cálculo I: Ejercicios por tema AG

4-Calculo-diferencial-con-una-variable.pdf
4-Calculo-diferencial-con-una-variable.pdf
4-Calculo-diferencial-con-una-variable.pdf
1-Numeros-reales-y-pruebas.pdf
1-Numeros-reales-y-pruebas.pdf
1-Numeros-reales-y-pruebas.pdf

apuntes

-

Ejercicios por tema

He publicado nuevos apuntes de 1º Cálculo I: Ejercicios por tema

0-Ejercicios-repaso-completo-aca.pdf
0-Ejercicios-repaso-completo-aca.pdf
0-Ejercicios-repaso-completo-aca.pdf
3-Series.pdf
3-Series.pdf
3-Series.pdf

apuntes

-

Apuntes por temas

He publicado nuevos apuntes de 1º Cálculo I: Apuntes por temas

7-Series-de-potencias.pdf
7-Series-de-potencias.pdf
7-Series-de-potencias.pdf
4-Sucesiones.pdf
4-Sucesiones.pdf
4-Sucesiones.pdf

examenes

-

examenes

He publicado nuevos examenes de 1º Cálculo I: examenes

CT-C2.pdf
CT-C2.pdf
CT-C2.pdf
C2-C1.pdf
C2-C1.pdf
C2-C1.pdf

apuntes

-

ejercicios resueltos y enunciados

He publicado nuevos apuntes de 1º Cálculo I: ejercicios resueltos y enunciados

Soluciones-Real.pdf
Soluciones-Real.pdf
Soluciones-Real.pdf
Soluciones-Series.pdf
Soluciones-Series.pdf
Soluciones-Series.pdf

apuntes

-

apuntes por temas

He publicado nuevos apuntes de 1º Cálculo I: apuntes por temas

Tema-5.pdf
Tema-5.pdf
Tema-5.pdf
Tema8.pdf
Tema8.pdf
Tema8.pdf

apuntes

-

apuntes calculo tema por tema

He publicado nuevos apuntes de 1º Cálculo I: apuntes calculo tema por tema

Formularioo-.pdf
Formularioo-.pdf
Formularioo-.pdf
Tema1.pdf
Tema1.pdf
Tema1.pdf

apuntes

-

TRANSPARENCIAS

He publicado nuevos apuntes de 1º Cálculo I: TRANSPARENCIAS

CI-Tema4.pdf
CI-Tema4.pdf
CI-Tema4.pdf
CI-Tema2.pdf
CI-Tema2.pdf
CI-Tema2.pdf

apuntes

-

EXÁMENES RESUELTOS

He publicado nuevos apuntes de 1º Cálculo I: EXÁMENES RESUELTOS

ExamenOrdinario-TelComSon-Res-3.pdf
ExamenOrdinario-TelComSon-Res-3.pdf
ExamenOrdinario-TelComSon-Res-3.pdf
Examenes2021.pdf
Examenes2021.pdf
Examenes2021.pdf

He publicado nuevos examenes de 1º Cálculo I: partial295.pdf

4 páginas

He publicado nuevos examenes de 1º Cálculo I: partial195.pdf

3 páginas

He publicado nuevos ejercicios de 1º Cálculo I: ejscalculo.pdf

65 páginas