Todo
Apuntes
Exámenes
chevron_left
chevron_right

He publicado nuevos examenes de 1º Cálculo I: Resuelto-1o-Parcial-2023.pdf

2 páginas

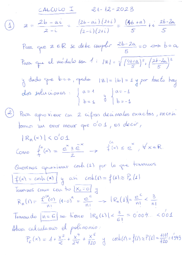
He publicado nuevos examenes de 1º Cálculo I: ExOrdinario21122023CALCULOI.pdf

5 páginas

He publicado nuevos examenes de 1º Cálculo I: Resuelto-2o-parcial-2023.pdf

2 páginas

examenes

-

Exámenes 2021-2022

He publicado nuevos examenes de 1º Cálculo I: Exámenes 2021-2022

2021-2-parcial.pdf
2021-2022-Final.pdf
2021-2022-1-parcial.pdf

examenes

-

Exámenes 2022-2023

He publicado nuevos examenes de 1º Cálculo I: Exámenes 2022-2023

2022-2oparcial.pdf
2022-2023-Extraordinario.pdf
2022-2023-Ordinario.pdf
2022-1parcial.pdf

examenes

-

Examenes años anteriores

He publicado nuevos examenes de 1º Cálculo I: Examenes años anteriores

Parcialillo-1-Calculo-1-22-23.pdf
Parcialillo-2-Calculo-1-22-23.pdf
2018Parcial1.pdf
Calculo-1-Parcial-1-Grupo-1-2019.pdf

He publicado nuevos examenes de 1º Cálculo I: 2019Parcial1G2.pdf

1 página

He publicado nuevos examenes de 1º Cálculo I: 2019ExRecuperacion2.pdf

2 páginas

He publicado nuevos examenes de 1º Cálculo I: 2019ExOrdinario.pdf

2 páginas

examenes

-

Examenes de años anteriores

He publicado nuevos examenes de 1º Cálculo I: Examenes de años anteriores

2018Parcial1.pdf
2018Parcial2.pdf
2018ExRecuperacion.pdf
2018Parcial3.pdf
2018ExOrdinario.pdf
2019ExRecuperacion.pdf

apuntes

-

Series

He publicado nuevos apuntes de 1º Cálculo I: Series

ApuntesEjerciciosT5.pdf

apuntes

-

Integrales impropias

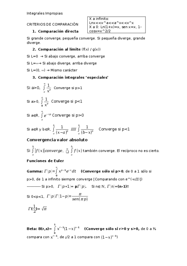
He publicado nuevos apuntes de 1º Cálculo I: Integrales impropias

ApuntesEjerciciosT4.pdf

apuntes

-

Integral de Riemman

He publicado nuevos apuntes de 1º Cálculo I: Integral de Riemman

EjerciciosT3-1.pdf
ApuntesEjerciciosT3.pdf

apuntes

-

Derivadas

He publicado nuevos apuntes de 1º Cálculo I: Derivadas

ApuntesEjerciciosT2.pdf
Examen.pdf

apuntes

-

Límites y continuidad

He publicado nuevos apuntes de 1º Cálculo I: Límites y continuidad

Examen-resuelto.pdf
EjerciciosT1.pdf
ApuntesT1.pdf

He publicado nuevos apuntes de 1º Cálculo I: apuntes-impropias.docx

word

He publicado nuevos apuntes de 1º Cálculo I: Resumen-completo.pdf

16 páginas